GRANT

Purpose

Use the GRANT statement to grant:

  • Administrative privileges to users only (not to roles). Table 18-1

    Refer to the Database Security Guide for more information about administrative privileges Managing Administrative Privileges

  • System privileges to users and roles. Table 18-2

    Note that ANY system privileges, for example, SELECT ANY TABLE, will not work on SYS objects or other dictionary objects.

  • Schema privileges to users and roles. Table 18-3

  • Roles to users, roles, and program units. The granted roles can be either user-defined (local or external) or predefined. For a list of predefined roles, refer to Oracle Database Security Guide.

  • Object privileges for a particular object to users and roles. Table 18-4

Note:

Global roles (created with IDENTIFIED GLOBALLY) are granted through enterprise roles and cannot be granted using the GRANT statement.

Notes on Authorizing Database Users

You can authorize database users through means other than the database and the GRANT statement.

  • Many Oracle Database privileges are granted through supplied PL/SQL and Java packages. For information on those privileges, refer to the documentation for the appropriate package.

  • Some operating systems have facilities that let you grant roles to Oracle Database users with the initialization parameter OS_ROLES. If you choose to grant roles to users through operating system facilities, then you cannot also grant roles to users with the GRANT statement, although you can use the GRANT statement to grant system privileges to users and system privileges and roles to other roles.

Note on Oracle Automatic Storage Management

A user authenticated AS SYSASM can use this statement to grant the administrative privileges SYSASM, SYSOPER, and SYSDBA to a user in the Oracle ASM password file of the current node.

Note on Editionable Objects

A GRANT operation to grant object privileges on an editionable object actualizes the object in the current edition. See Oracle Database Development Guide for more information about editions and editionable objects.

See Also:

Prerequisites

To grant a system privilege, one of the following conditions must be met:

  • You must have been granted the GRANT ANY PRIVILEGE system privilege. In this case, if you grant the system privilege to a role, then a user to whom the role has been granted does not have the privilege unless the role is enabled in user's session.

  • You must have been granted the system privilege with the ADMIN OPTION. In this case, if you grant the system privilege to a role, then a user to whom the role has been granted has the privilege regardless whether the role is enabled in the user's session.

To grant a role to a user or another role, you must have been directly granted the role with the ADMIN OPTION, or you must have been granted the GRANT ANY ROLE system privilege, or you must have created the role.

To grant a role to a program unit in your own schema, you must have been directly granted the role with either the ADMIN OPTION or the DELEGATE OPTION, or you must have been granted the GRANT ANY ROLE system privilege, or you must have created the role.

To grant a role to a program unit in another user's schema, you must be the user SYS and the role must have been created by the schema owner or directly granted to the schema owner.

To grant an object privilege on a user, by specifying the ON USER clause of the on_object_clause, you must be the user on whom the privilege is granted, or you must have been granted the object privilege on that user with the WITH GRANT OPTION, or you must have been granted the GRANT ANY OBJECT PRIVILEGE system privilege. If you can grant an object privilege on a user only because you have the GRANT ANY OBJECT PRIVILEGE, then the GRANTOR column of the *_TAB_PRIVS views displays the user on whom the privilege is granted rather than the user who issued the GRANT statement.

To grant an object privilege on all other types of objects, you must own the object, or the owner of the object must have granted you the object privileges with the WITH GRANT OPTION, or you must have been granted the GRANT ANY OBJECT PRIVILEGE system privilege. If you have the GRANT ANY OBJECT PRIVILEGE, then you can grant the object privilege only if the object owner could have granted the same object privilege. In this case, the GRANTOR column of the *_TAB_PRIVS views displays the object owner rather than the user who issued the GRANT statement.

You can revoke privileges on an object if you have the GRANT ANY object privilege. This does not apply to dictionary protected schemas. The ANY keyword in reference to a system privilege means that the user can perform the privilege on any objects owned by any user except for SYS.

To specify the CONTAINER clause, you must be connected to a multitenant container database (CDB). To specify CONTAINER = ALL, the current container must be the root.

Syntax

Semantics

grant_system_privileges

Use these clauses to grant system privileges.

system_privilege

Specify the system privilege you want to grant. Table 18-2 lists the system privileges, organized by the database object operated upon.

  • If you grant a privilege to a user, then the database adds the privilege to the user's privilege domain. The user can immediately exercise the privilege. Oracle recommends that you only grant the ANY privileges to trusted users.

  • If you grant a privilege to a role, then the database adds the privilege to the privilege domain of the role. Users who have been granted and have enabled the role can immediately exercise the privilege. Other users who have been granted the role can enable the role and exercise the privilege.

  • If you grant a privilege to PUBLIC, then the database adds the privilege to the privilege domains of each user. All users can immediately perform operations authorized by the privilege. Oracle recommends against granting system privileges to PUBLIC.

role

Specify the role you want to grant. You can grant an Oracle Database predefined role or a user-defined role.

  • If you grant a role to a user, then the database makes the role available to the user. The user can immediately enable the role and exercise the privileges in the privilege domain of the role.

    In the case of a secure application role, you need not grant such a role directly to the user. You can let the associated PL/SQL package do this, assuming the user passes appropriate security policies. For more information, see the CREATE ROLE semantics for USING package and Oracle Database Security Guide

  • If you grant a role to another role, then the database adds the privilege domain of the granted role to the privilege domain of the grantee role. Users who have been granted the grantee role can enable it and exercise the privileges in the granted role's privilege domain.

  • If you grant a role to PUBLIC, then the database makes the role available to all users. All users can immediately enable the role and exercise the privileges in the privilege domain of the role.

Note:

Unlimited tablespace is not granted to the DBA role, but when a grant is executed to grant DBA to a user, unlimited tablespace is granted as part of the same grant, provided the user executing the GRANT command has unlimited tablespace granted with the ADMIN or GRANT ANY PRIVILEGE system privilege .

ALL PRIVILEGES

Specify ALL PRIVILEGES to grant all of the system privileges listed in Table 18-2, except the SELECT ANY DICTIONARY, ALTER DATABASE LINK, and ALTER PUBLIC DATABASE LINK privileges.

However, grant and revoke ALL PRIVILEGES do not apply to ADMINISTER KEY MANAGEMENT. Granting ALL PRIVILEGES does not grant ADMINISTER KEY MANAGEMENT. Similarly, revoking ALL PRIVILEGES does not revoke ADMINISTER KEY MANAGEMENT.

See Also:

grantee_clause

Use the grantee_clause to specify the users or roles to which the system privilege, role, or object privilege is granted.

PUBLIC

Specify PUBLIC to grant the privileges to all users. Oracle recommends against granting system privileges to PUBLIC.

Restriction on Grantees

A user, role, or PUBLIC cannot appear more than once in the grantee_clause.

grantee_identified_by

The grantee_identified_by clause lets you assign passwords to users when granting them system privileges and roles. You must specify an equal number of users and passwords. The first password is assigned to the first user, the second password is assigned to the second user, and so on. If a specified user exists, then the database resets the user's password. If a specified user does not exist, then the database creates the user with the password.

You can set the password to a maximum length of 1024 bytes.

See Also:

CREATE USER for restrictions on usernames and passwords and "Assigning User Passwords When Granting a System Privilege: Example"

WITH ADMIN OPTION

Specify WITH ADMIN OPTION to enable the grantee to:

  • Grant the privilege or role to another user or role, unless the role is a GLOBAL role

  • Revoke the privilege or role from another user or role

  • Alter the privilege or role to change the authorization needed to access it

  • Drop the privilege or role

  • Grant the role to a program unit in the grantee's schema.

  • Revoke the role from a program unit in the grantee's schema.

If you grant a system privilege or role to a user without specifying WITH ADMIN OPTION, and then subsequently grant the privilege or role to the user WITH ADMIN OPTION, then the user has the ADMIN OPTION on the privilege or role.

To revoke the ADMIN OPTION on a system privilege or role from a user, you must revoke the privilege or role from the user altogether and then grant the privilege or role to the user without the ADMIN OPTION.

WITH DELEGATE OPTION

You can specify this clause only when granting a role to a user.

Specify WITH DELEGATE OPTION to enable the grantee to:

  • Grant the role to a program unit in the grantee's schema

  • Revoke the role from a program unit in the grantee's schema

If you grant a role to a user without specifying WITH DELEGATE OPTION, and then subsequently grant the role to the user WITH DELEGATE OPTION, then the user has the DELEGATE OPTION on the role.

To revoke the DELEGATE OPTION on a role from a user, you must revoke the role from the user altogether and then grant the role to the user without the DELEGATE OPTION.

See Also:

Restrictions on Granting System Privileges and Roles

Privileges and roles are subject to the following restrictions:

  • A privilege or role cannot appear more than once in the list of privileges and roles to be granted.

  • You cannot grant a role to itself.

  • You cannot grant a role IDENTIFIED GLOBALLY to anything.

  • You cannot grant a role IDENTIFIED EXTERNALLY to a global user or global role.

  • You cannot grant roles circularly. For example, if you grant the role banker to the role teller, then you cannot subsequently grant teller to banker.

  • You cannot grant an IDENTIFIED BY role, IDENTIFIED USING role, or IDENTIFIED EXTERNALLY role to another role.

grant_schema_privileges

You can grant a schema level privilege to any user or any role if you are a user who :

  • Owns the schema.

  • Has a schema level privilege WITH ADMIN OPTION.

  • Has the GRANT ANY SCHEMA PRIVILEGE system privilege. If you specify ALL PRIVILEGES , all the schema level privileges in Table 18-3 are granted.

You cannot grant schema privileges on the SYS schema.

grant_object_privileges

Use these clauses to grant object privileges.

object_privilege

Specify the object privilege you want to grant. Table 18-4 lists the object privileges, organized by the type of object on which they can be granted. When you grant an object privilege on a editionable object, either to a user or to a role, the object is actualized in the edition in which the grant is made. Refer to CREATE EDITION for information on editionable object types and editions.

Note:

To grant SELECT on a view to another user, either you must own all of the objects underlying the view or you must have been granted the SELECT object privilege WITH GRANT OPTION on all of those underlying objects. This is true even if the grantee already has SELECT privileges on those underlying objects.

To grant READ on a view to another user, either you must own all of the objects underlying the view or you must have been granted the READ or SELECT object privilege WITH GRANT OPTION on all of those underlying objects. This is true even if the grantee already has the READ or SELECT privilege on those underlying objects.

Restriction on Object Privileges

A privilege cannot appear more than once in the list of privileges to be granted.

ALL [PRIVILEGES]

Specify ALL to grant all the privileges for the object that you have been granted with the GRANT OPTION. The user who owns the schema containing an object automatically has all privileges on the object with the GRANT OPTION. The keyword PRIVILEGES is provided for semantic clarity and is optional.

column

Specify the table or view column on which privileges are to be granted. You can specify columns only when granting the INSERT, REFERENCES, or UPDATE privilege. If you do not list columns, then the grantee has the specified privilege on all columns in the table or view.

For information on existing column object grants, query the USER_, ALL_, or DBA_COL_PRIVS data dictionary view.

See Also:

Oracle Database Reference for information on the data dictionary views and "Granting Multiple Object Privileges on Individual Columns: Example"

on_object_clause

The on_object_clause identifies the object on which the privileges are granted. Users, directory objects, editions, data mining models, Java source and resource schema objects, and SQL translation profiles are identified separately because they reside in separate namespaces.

object

Specify the schema object on which the privileges are to be granted. If you do not qualify object with schema, then the database assumes the object is in your own schema. The object can be one of the following types:

  • Table, view, or materialized view

  • Sequence

  • Procedure, function, or package

  • User-defined type

  • Synonym for any of the preceding items

  • Directory, library, operator, or indextype

  • Java source, class, or resource

You cannot grant privileges directly to a single partition of a partitioned table.

ON USER

Specify the database user you want to grant privileges to.

Restriction on Granting Privileges on Users

You cannot grant privileges on user PUBLIC.

ON DIRECTORY

Specify the name of the directory object on which privileges are to be granted. You cannot qualify directory_name with a schema name.

ON EDITION

Specify the name of the edition on which the USE object privilege is to be granted. You cannot qualify edition_name with a schema name.

ON MINING MODEL

Specify the name of the mining model on which privileges are to be granted. If you do not qualify mining_model_name with schema, then the database assumes that the mining model is in your own schema.

ON JAVA SOURCE | RESOURCE

Specify the name of the Java source or resource schema object on which privileges are to be granted. If you do not qualify object with schema, then the database assumes that the object is in your own schema.

See Also:

CREATE JAVA

ON SQL TRANSLATION PROFILE

Specify the name of the SQL translation profile on which privileges are to be granted. If you do not qualify profile with schema, then the database assumes that the profile is in your own schema.

WITH HIERARCHY OPTION

Specify WITH HIERARCHY OPTION to grant the specified object privilege on all subobjects of object, such as subviews created under a view, including subobjects created subsequent to this statement.

This clause is meaningful only in combination with the READ or SELECT object privilege.

WITH GRANT OPTION

Specify WITH GRANT OPTION to enable the grantee to grant the object privileges to other users and roles.

If you grant an object privilege to a user without specifying WITH GRANT OPTION, and then subsequently grant the privilege to the user WITH GRANT OPTION, then the user has the GRANT OPTION on the privilege.

To revoke the GRANT OPTION on an object privilege from a user, you must revoke the privilege from the user altogether and then grant the privilege to the user without the GRANT OPTION.

Restriction on Granting WITH GRANT OPTION

You can specify WITH GRANT OPTION only when granting to a user or to PUBLIC, not when granting to a role.

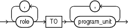
grant_roles_to_programs

Use this clause to grant roles to program units. Such roles are called code based access control (CBAC) roles.

role

Specify the role you want to grant. You can grant an Oracle Database predefined role or a user-defined role. The role must have been created by or directly granted to the schema owner of the program unit.

program_unit

Specify the program unit to which the role is to be granted. You can specify a PL/SQL function, procedure, or package. If you do not specify schema, then Oracle Database assumes the function, procedure, or package is in your own schema.

See Also:

Oracle Database Security Guide for more information on granting code based access control roles to program units

CONTAINER Clause

If the current container is a pluggable database (PDB):

  • Specify CONTAINER = CURRENT to locally grant a system privilege, object privilege, or role to a user or role. The privilege or role is granted to the user or role only in the current PDB.

If the current container is the root:

  • Specify CONTAINER = CURRENT to locally grant a system privilege, object privilege, or role to a common user or common role. The privilege or role is granted to the user or role only in the root.

  • Specify CONTAINER = ALL to commonly grant a system privilege, object privilege on a common object, or role, to a common user or common role.

If you omit this clause, then CONTAINER = CURRENT is the default.

Note:

If you specify the CONTAINER clause when granting a privilege or role, then the current container must be the same container and you must specify the same CONTAINER clause when you revoke the privilege or role. Refer to the CONTAINER Clause of the REVOKE statement for more information.

Listings of System Administrative, System, Schema, and Object Privileges

Table 18-1 Administrative Privileges

Administrative Privilege Name Operations Authorized

SYSBACKUP

Perform the following backup and recovery operations:

STARTUP and SHUTDOWN.

CREATE CONTROLFILE.

CREATE PFILE and CREATE SPFILE.

FLASHBACK DATABASE.

Create, use, view, and drop restore points (including guaranteed restore points).

Execute procedures in the DBMS_DATAPUMP, DBMS_PIPE, DBMS_TDB, and DBMS_TTS packages.

SELECT on X$ tables, V$ views, and GV$ views.

Includes the ALTER DATABASE, ALTER SESSION, ALTER SYSTEM, ALTER TABLESPACE, CREATE ANY CLUSTER, CREATE ANY DIRECTORY, CREATE ANY TABLE, CREATE SESSION, DROP DATABASE, DROP TABLESPACE, RESUMABLE, SELECT ANY DICTIONARY, SELECT ANY TRANSACTION, UNLIMITED TABLESPACE privileges and the SELECT_CATALOG_ROLE role.

SYSDBA

This is the most powerful administrative privilege. It allows most operations including the ability to view user data.

STARTUP and SHUTDOWN.

ALTER DATABASE: open, mount, back up, or change character set.

CREATE DATABASE.

DROP DATABASE.

ARCHIVELOG and RECOVERY.

CREATE SPFILE.

Includes the RESTRICTED SESSION privilege.

SYSDG

Perform the following Oracle Data Guard operations:

STARTUP and SHUTDOWN.

FLASHBACK DATABASE.

Create, use, view, and drop restore points (including guaranteed restore points).

SELECT on X$ tables, V$ views, and GV$ views.

Includes the ALTER DATABASE, ALTER SESSION, ALTER SYSTEM, CREATE SESSION, and SELECT ANY DICTIONARY privileges.

SYSKM

Perform the following encryption key management operations:

Connect to the database even if the database is not open.

SELECT on the following views when the database is open: V$CLIENT_SECRETS, V$ENCRYPTED_TABLESPACES, V$ENCRYPTION_KEYS, V$ENCRYPTION_WALLET and V$WALLET.

Includes the ADMINISTER KEY MANAGEMENT and CREATE SESSION privileges.

SYSOPER

STARTUP and SHUTDOWN operations.

ALTER DATABASE: open, mount, or back up.

ARCHIVELOG and RECOVERY.

CREATE SPFILE.

Includes the RESTRICTED SESSION privilege.

Table 18-2 System Privileges (Organized by the Database Object Operated Upon)

System Privilege Name Operations Authorized

Advisor Framework Privileges:

All of the advisor framework privileges are part of the DBA role.

ADVISOR

Access the advisor framework through PL/SQL packages such as DBMS_ADVISOR and DBMS_SQLTUNE.

ADMINISTER SQL TUNING SET

Create, drop, select (read), load (write), and delete SQL tuning sets owned by the grantee through the DBMS_SQLTUNE package.

ADMINISTER ANY SQL TUNING SET

Create, drop, select (read), load (write), and delete SQL tuning sets owned by any user through the DBMS_SQLTUNE package.

CREATE ANY SQL PROFILE

Accept a SQL Profile recommended by the SQL Tuning Advisor, which is accessed through Enterprise Manager or by the DBMS_SQLTUNE package.

Note: This privilege has been deprecated in favor of ADMINISTER SQL MANAGEMENT OBJECT.

ALTER ANY SQL PROFILE

Alter the attributes of an existing SQL Profile.

Note: This privilege has been deprecated in favor of ADMINISTER SQL MANAGEMENT OBJECT.

DROP ANY SQL PROFILE

Drop existing SQL Profiles.

Note: This privilege has been deprecated in favor of ADMINISTER SQL MANAGEMENT OBJECT.

ADMINISTER SQL MANAGEMENT OBJECT

Create, alter, and drop SQL Profiles owned by any user through the DBMS_SQLTUNE package.

ANALYTIC VIEWS

CREATE ANALYTIC VIEW

Create analytic views in the grantee's schema.

CREATE ANY ANALYTIC VIEW

Create analytic views in any schema except SYS, AUDSYS.

ALTER ANY ANALYTIC VIEW

Rename analytic views in any schema except SYS, AUDSYS.

DROP ANY ANALYTIC VIEW

Drop analytic views in any schema except SYS, AUDSYS .

ATTRIBUTE DIMENSIONS

CREATE ATTRIBUTE DIMENSION

Create attribute dimensions in the grantee's schema.

CREATE ANY ATTRIBUTE DIMENSION

Create attribute dimensions in any schema except SYS,AUDSYS.

ALTER ANY ATTRIBUTE DIMENSION

Rename attribute dimensions in any schema except SYS,AUDSYS.

DROP ANY ATTRIBUTE DIMENSION

Drop attribute dimensions in any schema except SYS,AUDSYS.

AUDIT:

AUDIT ANY

Audit an object in any schema, except SYS,AUDSYS, using AUDIT schema_objects statements.

AUDIT SYSTEM

Issue AUDIT statements.

ADMINISTER FINE GRAINED AUDIT POLICY

Allow management of fine-grained audit policies

CLUSTERS:

CREATE CLUSTER

Create clusters in the grantee's schema.

CREATE ANY CLUSTER

Create clusters in any schema except SYS,AUDSYS. Behaves similarly to CREATE ANY TABLE.

ALTER ANY CLUSTER

Alter clusters in any schema except SYS, AUDSYS.

DROP ANY CLUSTER

Drop clusters in any schema except SYS,AUDSYS.

CONTEXTS:

CREATE ANY CONTEXT

Create any context namespace.

DROP ANY CONTEXT

Drop any context namespace.

DATA REDACTION:

EXEMPT REDACTION POLICY

Bypass any existing Oracle Data Redaction policies and view actual data from tables or views on which Data Redaction policies are defined.

ADMINISTER REDACTION POLICY

Allow management of Redaction policies .

DATABASE:

ALTER DATABASE

Alter the database.

ALTER SYSTEM

Issue ALTER SYSTEM statements.

DATABASE LINKS:

CREATE DATABASE LINK

Create private database links in the grantee's schema.

CREATE PUBLIC DATABASE LINK

Create public database links.

ALTER DATABASE LINK

Modify a fixed-user database link when the password of the connection or authentication user changes.

ALTER PUBLIC DATABASE LINK

Modify a public fixed-user database link when the password of the connection or authentication user changes.

DROP PUBLIC DATABASE LINK

Drop public database links.

DEBUGGING:

DEBUG CONNECT SESSION

Connect the current session to a debugger.

DEBUG ANY PROCEDURE

Debug all PL/SQL and Java code in any database object. Display information on all SQL statements executed by the application.

Note: Granting this privilege is equivalent to granting the DEBUG object privilege on all applicable objects in the database.

DICTIONARIES:

ANALYZE ANY DICTIONARY

Analyze any data dictionary object.

DIMENSIONS:

CREATE DIMENSION

Create dimensions in the grantee's schema.

CREATE ANY DIMENSION

Create dimensions in any schema except SYS,AUDSYS.

ALTER ANY DIMENSION

Alter dimensions in any schema except SYS,AUDSYS.

DROP ANY DIMENSION

Drop dimensions in any schema except SYS,AUDSYS.

DIRECTIVES:

CREATE DIRECTIVE

Create a directive in your own schema on a table in your own schema .

CREATE ANY DIRECTIVE

Create a directive in your own schema on a table in another user's schema .

Create a directive in an other schema on a table in another user's schema .

DROP ANY DIRECTIVE

Drop a directive in another user's schema even if that user did not create it.

ALTER ANY DIRECTIVE

Alter a directive in another user's schema even if that user did not create it.

DIRECTORIES:

CREATE ANY DIRECTORY

Create directory database objects.

DROP ANY DIRECTORY

Drop directory database objects.

DOMAINS:

CREATE DOMAIN

Create a domain in your own schema.

CREATE ANY DOMAIN

Create a domain in any schema.

ALTER ANY DOMAIN

Alter a domain in any schema.

DROP ANY DOMAIN

Drop a domain in any schema.

EXECUTE ANY DOMAIN

Refer to a domain in any schema.

EDITIONS:

CREATE ANY EDITION

Create editions.

DROP ANY EDITION

Drop editions.

FLASHBACK DATA ARCHIVES:

FLASHBACK ARCHIVE ADMINISTER

Create, alter, or drop any flashback data archive.

HIERARCHIES

CREATE HIERARCHY

Create hierarchies in the grantee's schema.

CREATE ANY HIERARCHY

Create hierarchies in any schema except SYS,AUDSYS.

ALTER ANY HIERARCHY

Rename hierarchies in any schema except SYS,AUDSYS.

DROP ANY HIERARCHY

Drop hierarchies in any schema except SYS, AUDSYS.

INDEXES:

CREATE ANY INDEX

Create in any schema, except SYS, AUDSYS, a domain index or an index on any table in any schema except SYS,AUDSYS.

ALTER ANY INDEX

Alter indexes in any schema except SYS,AUDSYS.

DROP ANY INDEX

Drop indexes in any schema except SYS,AUDSYS.

INDEXTYPES:

CREATE INDEXTYPE

Create indextypes in the grantee's schema.

CREATE ANY INDEXTYPE

Create indextypes in any schema except SYS and create comments on indextypes in any schema except SYS.

ALTER ANY INDEXTYPE

Modify indextypes in any schema except SYS,AUDSYS.

DROP ANY INDEXTYPE

Drop indextypes in any schema except SYS,AUDSYS.

EXECUTE ANY INDEXTYPE

Reference indextypes in any schema except SYS,AUDSYS.

JOB SCHEDULER OBJECTS:

The following privileges are needed to execute procedures in the DBMS_SCHEDULER package. This privileges do not apply to lightweight jobs, which are not database objects. Refer to Oracle Database Administrator's Guide for more information about lightweight jobs.

CREATE JOB

Create, alter, or drop jobs, chains, schedules, programs, credentials, resource objects, or incompatibility resource objects in the grantee's schema.

CREATE ANY JOB

Create, alter, or drop jobs, chains, schedules, programs, credentials, resource objects, or incompatibility resource objects in any schema except SYS,AUDSYS.

Note: This extremely powerful privilege allows the grantee to execute code as any other user. It should be granted with caution.

CREATE EXTERNAL JOB

Create in the grantee's schema an executable scheduler job that runs on the operating system.

EXECUTE ANY CLASS

Specify any job class in a job in the grantee's schema.

EXECUTE ANY PROGRAM

Use any program in a job in the grantee's schema.

MANAGE SCHEDULER

Create, alter, or drop any job class, window, or window group.

USE ANY JOB RESOURCE

Associate any schedule resource object with any program or job in the grantee’s schema.

KEY MANAGEMENT FRAMEWORK:

ADMINISTER KEY MANAGEMENT

Manage keys and keystores.

LIBRARIES:

Caution: CREATE LIBARARY, CREATE ANY LIBRARY, ALTER ANY LIBRARY, and EXECUTE ANY LIBRARY are extremely powerful privileges that should be granted only to trusted users. Refer to Oracle Database Security Guide before granting these privileges.

CREATE LIBRARY

Create external procedure or function libraries in the grantee's schema.

CREATE ANY LIBRARY

Create external procedure or function libraries in any schema except SYS,AUDSYS.

ALTER ANY LIBRARY

Alter external procedure or function libraries in any schema except SYS,AUDSYS.

DROP ANY LIBRARY

Drop external procedure or function libraries in any schema except SYS,AUDSYS.

EXECUTE ANY LIBRARY

Use external procedure or function libraries in any schema except SYS,AUDSYS.

LOGMINER:

LOGMINING

Execute procedures in the DBMS_LOGMNR package in a CDB or a PDB. Query the contents of the V$LOGMNR_CONTENTS view.

MATERIALIZED VIEWS:

CREATE MATERIALIZED VIEW

Create materialized views in the grantee's schema.

CREATE ANY MATERIALIZED VIEW

Create materialized views in any schema except SYS,AUDSYS.

ALTER ANY MATERIALIZED VIEW

Alter materialized views in any schema except SYS,AUDSYS.

DROP ANY MATERIALIZED VIEW

Drop materialized views in any schema except SYS,AUDSYS.

QUERY REWRITE

This privilege has been deprecated. No privileges are needed for a user to enable rewrite for a materialized view that references tables or views in the user's own schema.

GLOBAL QUERY REWRITE

Enable rewrite using a materialized view when that materialized view references tables or views in any schema except SYS.

ON COMMIT REFRESH

Create a refresh-on-commit materialized view on any table in the database.

Alter a refresh-on-demand materialized view on any table in the database to refresh-on-commit.

FLASHBACK ANY TABLE

Issue a SQL Flashback Query on any table, view, or materialized view in any schema except SYS. This privilege is not needed to execute the DBMS_FLASHBACK procedures.

MINING MODELS:

CREATE MINING MODEL

Create mining models in the grantee's schema using the DBMS_DATA_MINING.CREATE_MODEL procedure.

CREATE ANY MINING MODEL

Create mining models in any schema, except SYS, AUDSYS, using the DBMS_DATA_MINING.CREATE_MODEL procedure.

ALTER ANY MINING MODEL

Change the mining model name or the associated cost matrix of a model in any schema, except SYS, AUDSYS, using the applicable DBMS_DATA_MINING procedures.

DROP ANY MINING MODEL

Drop mining models in any schema, except SYS,AUDSYS, using the DBMS_DATA_MINING.DROP_MODEL procedure.

SELECT ANY MINING MODEL

Score or view mining models in any schema except SYS, AUDSYS. Scoring is done either with the PREDICTION family of SQL functions or with the DBMS_DATA_MINING.APPLY procedure. Viewing the model is done with the DBMS_DATA_MINING.GET_MODEL_DETAILS_* procedures.

COMMENT ANY MINING MODEL

Create comments on mining models in any schema, except SYS, AUDSYS, using the SQL COMMENT statement.

OLAP CUBES:

The following privileges are valid when you are using Oracle Database with the OLAP option.

CREATE CUBE

Create OLAP cubes in the grantee's schema.

CREATE ANY CUBE

Create OLAP cubes in any schema except SYS,AUDSYS.

ALTER ANY CUBE

Alter OLAP cubes in any schema except SYS,AUDSYS.

DROP ANY CUBE

Drop OLAP cubes in any schema except SYS,AUDSYS.

SELECT ANY CUBE

Query or view OLAP cubes in any schema except SYS,AUDSYS.

UPDATE ANY CUBE

Update OLAP cubes in any schema except SYS,AUDSYS.

OLAP CUBE MEASURE FOLDERS:

The following privileges are valid when you are using Oracle Database with the OLAP option.

CREATE MEASURE FOLDER

Create OLAP measure folders in the grantee's schema.

CREATE ANY MEASURE FOLDER

Create OLAP measure folders in any schema except SYS,AUDSYS.

DELETE ANY MEASURE FOLDER

Delete a measure from an OLAP measure folder in any schema except SYS,AUDSYS.

DROP ANY MEASURE FOLDER

Drop OLAP measure folders in any schema except SYS,AUDSYS.

INSERT ANY MEASURE FOLDER

Insert a measure into an OLAP measure folder in any schema except SYS,AUDSYS.

OLAP CUBE DIMENSIONS:

The following privileges are valid when you are using Oracle Database with the OLAP option.

CREATE CUBE DIMENSION

Create OLAP cube dimension in the grantee's schema.

CREATE ANY CUBE DIMENSION

Create OLAP cube dimensions in any schema except SYS,AUDSYS.

ALTER ANY CUBE DIMENSION

Alter OLAP cube dimensions in any schema except SYS,AUDSYS.

DELETE ANY CUBE DIMENSION

Delete from OLAP cube dimensions in any schema except SYS, AUDSYS.

DROP ANY CUBE DIMENSION

Drop OLAP cube dimensions in any schema except SYS,AUDSYS.

INSERT ANY CUBE DIMENSION

Insert into OLAP cube dimensions in any schema except SYS,AUDSYS.

SELECT ANY CUBE DIMENSION

View or query OLAP cube dimensions in any schema except SYS,AUDSYS.

UPDATE ANY CUBE DIMENSION

Update OLAP cube dimensions in any schema except SYS,AUDSYS.

OLAP CUBE BUILD PROCESSES:

CREATE CUBE BUILD PROCESS

Create OLAP cube build processes in the grantee's schema.

CREATE ANY CUBE BUILD PROCESS

Create OLAP cube build processes in any schema except SYS,AUDSYS.

DROP ANY CUBE BUILD PROCESS

Drop OLAP cube build processes in any schema except SYS,AUDSYS.

UPDATE ANY CUBE BUILD PROCESS

Update OLAP cube build processes in any schema except SYS,AUDSYS.

OPERATORS:

CREATE OPERATOR

Create an operator and its bindings in the grantee's schema.

CREATE ANY OPERATOR

Create an operator and its bindings in any schema and create a comment on an operator in any schema.

ALTER ANY OPERATOR

Modify operators in any schema.

DROP ANY OPERATOR

Drop operators in any schema.

EXECUTE ANY OPERATOR

Reference operators in any schema.

OUTLINES:

CREATE ANY OUTLINE

Create public outlines that can be used in any schema that uses outlines.

ALTER ANY OUTLINE

Modify outlines.

DROP ANY OUTLINE

Drop outlines.

PDB LOCKDOWN PROFILES:

CREATE LOCKDOWN PROFILE

Create PDB lockdown profiles.

ALTER LOCKDOWN PROFILE

Alter PDB lockdown profiles.

DROP LOCKDOWN PROFILE

Drop PDB lockdown profiles.

PLAN MANAGEMENT:

ADMINISTER SQL MANAGEMENT OBJECT

Perform controlled manipulation of plan history and SQL plan baselines maintained for various SQL statements.

PLUGGABLE DATABASES:

CREATE PLUGGABLE DATABASE

Create a PDB.

Plug in a PDB that was previously unplugged from a CDB.

Clone a PDB.

SET CONTAINER

Allow a common user to switch into the container for which this privilege was granted. This privilege can be granted only to a common user or common role.

PROCEDURES:

CREATE PROCEDURE

Create stored procedures, functions, or packages in the grantee's schema.

CREATE ANY PROCEDURE

Create stored procedures, functions, or packages in any schema except SYS,AUDSYS.

ALTER ANY PROCEDURE

Alter stored procedures, functions, or packages in any schema except SYS,AUDSYS.

DROP ANY PROCEDURE

Drop stored procedures, functions, or packages in any schema except SYS,AUDSYS.

EXECUTE ANY PROCEDURE

Execute procedures or functions, either standalone or packaged.

Reference public package variables in any schema except SYS,AUDSYS.

INHERIT ANY REMOTE PRIVILEGES

Execute definer's rights procedures or functions that contain current user database links.

PROFILES:

CREATE PROFILE

Create profiles.

ALTER PROFILE

Alter profiles.

DROP PROFILE

Drop profiles.

PROPERTY GRAPHS:

CREATE PROPERTY GRAPH

Create property graph in the grantee’s schema.

CREATE ANY PROPERTY GRAPH

Create property graph in any schema except SYS, AUDSYS.

ALTER ANY PROPERTY GRAPH

Alter property graph in any schema except SYS, AUDSYS.

DROP ANY PROPERTY GRAPH

Drop property graph in any schema except SYS, AUDSYS.

READ ANY PROPERTY GRAPH

Query property graph in any schema except SYS, AUDSYS.

COMMENT ANY PROPERTY GRAPH

Create comments on property graphs in any schema except SYS, AUDSYS.

ROLES:

CREATE ROLE

Create roles.

ALTER ANY ROLE

Alter any role in the database.

DROP ANY ROLE

Drop roles.

GRANT ANY ROLE

Grant any role in the database.

ROLLBACK SEGMENTS:

CREATE ROLLBACK SEGMENT

Create rollback segments.

ALTER ROLLBACK SEGMENT

Alter rollback segments.

DROP ROLLBACK SEGMENT

Drop rollback segments.

SEQUENCES:

CREATE SEQUENCE

Create sequences in the grantee's schema.

CREATE ANY SEQUENCE

Create sequences in any schema except SYS,AUDSYS.

ALTER ANY SEQUENCE

Alter sequences in any schema except SYS,AUDSYS.

DROP ANY SEQUENCE

Drop sequences in any schema except SYS,AUDSYS.

SELECT ANY SEQUENCE

Reference sequences in any schema except SYS,AUDSYS.

SESSIONS:

CREATE SESSION

Connect to the database.

ALTER RESOURCE COST

Set costs for session resources.

ALTER SESSION

Enable and disable the SQL trace facility.

RESTRICTED SESSION

Logon after the instance is started using the SQL*Plus STARTUP RESTRICT statement.

SNAPSHOTS:

See MATERIALIZED VIEWS

SQL Firewall Administration

ADMINISTER SQL FIREWALL

This system privilege is required to execute the PL/SQL procedures in SYS.DBMS_SQL_FIREWALL package. Just like any other system privileges, SYS is assumed to have this privilege. However this system privilege will not be granted to the DBA role by default.

SQL TRANSLATION PROFILES:

CREATE SQL TRANSLATION PROFILE

Create SQL translation profiles in the grantee's schema.

CREATE ANY SQL TRANSLATION PROFILE

Create SQL translation profiles in any schema except SYS,AUDSYS.

ALTER ANY SQL TRANSLATION PROFILE

Alter the translator, custom SQL statement translations, or custom error translations of a SQL translation profile in any schema except SYS,AUDSYS.

USE ANY SQL TRANSLATION PROFILE

Use SQL translation profiles in any schema except SYS,AUDSYS.

DROP ANY SQL TRANSLATION PROFILE

Drop SQL translation profiles in any schema except SYS,AUDSYS.

TRANSLATE ANY SQL

Translate SQL through the grantee's SQL translation profile for any user.

SYNONYMS:

Caution: CREATE PUBLIC SYNONYM and DROP PUBLIC SYNONYM are extremely powerful privileges that should be granted only to trusted users. Refer to Oracle Database Security Guide before granting these privileges.

CREATE SYNONYM

Create synonyms in the grantee's schema.

CREATE ANY SYNONYM

Create private synonyms in any schema except SYS,AUDSYS.

CREATE PUBLIC SYNONYM

Create public synonyms.

DROP ANY SYNONYM

Drop private synonyms in any schema except SYS,AUDSYS.

DROP PUBLIC SYNONYM

Drop public synonyms.

TABLES:

Note: For external tables, the only valid privileges are CREATE ANY TABLE, ALTER ANY TABLE, DROP ANY TABLE, READ ANY TABLE, and SELECT ANY TABLE.

CREATE TABLE

Create tables in the grantee's schema.

CREATE ANY TABLE

Create a table in any schema except SYS,AUDSYS. The owner of the schema containing the table must have space quota on the tablespace to contain the table.

ALTER ANY TABLE

Alter a table or view in any schema except SYS, AUDSYS.

BACKUP ANY TABLE

Use the Export utility to incrementally export objects from the schema of other users except SYS,AUDSYS.

DELETE ANY TABLE

Delete rows from tables, table partitions, or views in any schema except SYS,AUDSYS.

DROP ANY TABLE

Drop or truncate tables or table partitions in any schema except SYS,AUDSYS.

INSERT ANY TABLE

Insert rows into tables and views in any schema except SYS,AUDSYS.

LOCK ANY TABLE

Lock tables and views in any schema except SYS,AUDSYS.

READ ANY TABLE

Query tables, views, or materialized views in any schema except SYS,AUDSYS.

SELECT ANY TABLE

Query tables, views, or materialized views in any schema except SYS,AUDSYS. Obtain row locks using a SELECT ... FOR UPDATE.

FLASHBACK ANY TABLE

Issue a SQL Flashback Query on any table, view, or materialized view in any schema except SYS,AUDSYS. This privilege is not needed to execute the DBMS_FLASHBACK procedures.

UPDATE ANY TABLE

Update rows in tables and views in any schema except SYS,AUDSYS.

REDEFINE ANY TABLE

Perform online redefinition without granting any of the privileges in USER or FULL mode.

TABLE RETENTION

Create a blockchain table or an immutable table whose table retention exceeds the threshold specified by the parameter BLOCKCHAIN_TABLE_RETENTION_THRESHOLD. Increase the table retention for an existing blockchain table or immutable table to a value above the threshold specified by the parameter BLOCKCHAIN_TABLE_RETENTION_THRESHOLD.

TABLESPACES:

CREATE TABLESPACE

Create tablespaces.

ALTER TABLESPACE

Alter tablespaces.

DROP TABLESPACE

Drop tablespaces.

MANAGE TABLESPACE

Take tablespaces offline and online and begin and end tablespace backups.

UNLIMITED TABLESPACE

Use an unlimited amount of any tablespace. This privilege overrides any specific quotas assigned. If you revoke this privilege from a user, then the user's schema objects remain but further tablespace allocation is denied unless authorized by specific tablespace quotas. You cannot grant this system privilege to roles.

TRIGGERS:

CREATE TRIGGER

Create database triggers in the grantee's schema.

CREATE ANY TRIGGER

Create database triggers in any schema except SYS, AUDSYS.

ALTER ANY TRIGGER

Enable, disable, or compile database triggers in any schema except SYS,AUDSYS.

DROP ANY TRIGGER

Drop database triggers in any schema except SYS,AUDSYS.

ADMINISTER DATABASE TRIGGER

Create a trigger on DATABASE. You must also have the CREATE TRIGGER or CREATE ANY TRIGGER system privilege.

TYPES:

CREATE TYPE

Create object types and object type bodies in the grantee's schema.

CREATE ANY TYPE

Create object types and object type bodies in any schema except SYS,AUDSYS.

ALTER ANY TYPE

Alter object types in any schema except SYS,AUDSYS.

DROP ANY TYPE

Drop object types and object type bodies in any schema except SYS,AUDSYS.

EXECUTE ANY TYPE

Use and reference object types and collection types in any schema except SYS,AUDSYS, and invoke methods of an object type in any schema, except SYS,AUDSYS, if you make the grant to a specific user. If you grant EXECUTE ANY TYPE to a role, then users holding the enabled role will not be able to invoke methods of an object type in any schema.

UNDER ANY TYPE

Create subtypes under any nonfinal object types.

USERS:

CREATE USER

Create users. This privilege also allows the creator to:

  • Assign quotas on any tablespace.

  • Set default and temporary tablespaces.

  • Assign a profile as part of a CREATE USER statement.

ALTER USER

Alter any user except SYS. This privilege authorizes the grantee to:

  • Change another user's password or authentication method.

  • Assign quotas on any tablespace.

  • Set default and temporary tablespaces.

  • Assign a profile and default roles.

DROP USER

Drop users

VIEWS:

CREATE VIEW

Create views in the grantee's schema.

CREATE ANY VIEW

Create views in any schema except SYS,AUDSYS.

DROP ANY VIEW

Drop views in any schema except SYS,AUDSYS.

UNDER ANY VIEW

Create subviews under any object views.

FLASHBACK ANY TABLE

Issue a SQL Flashback Query on any table, view, or materialized view in any schema except SYS,AUDSYS. This privilege is not needed to execute the DBMS_FLASHBACK procedures.

MERGE ANY VIEW

If a user has been granted the MERGE ANY VIEW privilege, then for any query issued by that user, the optimizer can use view merging to improve query performance without performing the checks that would otherwise be performed to ensure that view merging does not violate any security intentions of the view creator. See Oracle Database SQL Tuning Guide for information on view merging.

VIRTUAL PRIVATE DATABASE

 

EXEMPT ACCESS POLICY

Bypass fine-grained access control.

Caution: This is a very powerful system privilege, as it lets the grantee bypass application-driven security policies. Database administrators should use caution when granting this privilege.

ADMINISTER ROW LEVEL SECURITY POLICY

Allow management of Virtual Private Database (VPD) policies (fine-grained access control, row-level security)

MISCELLANEOUS:

ANALYZE ANY

Analyze a table, cluster, or index in any schema except SYS.

BECOME USER

Allow users of the Data Pump Import utility (impdp) and the original Import utility (imp) to assume the identity of another user in order to perform operations that cannot be directly performed by a third party (for example, loading objects such as object privilege grants).

Allow Streams administrators to create or alter capture users and apply users in a Streams environment. By default this privilege is part of the DBA role. Database Vault removes this privileges from the DBA role. Therefore, this privilege is needed by Streams only in an environment where Database Vault is installed.

CHANGE NOTIFICATION

Create a registration on queries and receive database change notifications in response to DML or DDL changes to the objects associated with the registered queries. Refer to Oracle Database Development Guide for more information on database change notification.

COMMENT ANY TABLE

Comment on a table, view, or column in any schema except SYS,AUDSYS.

ENABLE DIAGNOSTICS

  • Set debug-events via ALTER SESSION or ALTER SYSTEM

  • Set debug-actions to execute during an event via ALTER SESSION or ALTER SYSTEM

  • Execute debug-actions immediately via ALTER SESSION or ALTER SYSTEM by specifying the IMMEDIATE keyword instead of an event name
  • Set the event parameter in the spfile via ALTER SYSTEM
   

FORCE ANY TRANSACTION

Force the commit or rollback of any in-doubt distributed transaction in the local database.

Induce the failure of a distributed transaction.

FORCE TRANSACTION

Force the commit or rollback of the grantee's in-doubt distributed transactions in the local database.

GRANT ANY OBJECT PRIVILEGE

Grant any object privilege that the object owner is permitted to grant.

Revoke any object privilege that was granted by the object owner or by some other user with the GRANT ANY OBJECT PRIVILEGE privilege.

GRANT ANY PRIVILEGE

Grant any system privilege.

INHERIT ANY PRIVILEGES

Execute invoker's rights procedures owned by the grantee with the privileges of the invoker.

KEEP DATE TIME

The SYSDATE and SYSTIMESTAMP functions return their original values during replay for Application Continuity when the grantee is running the application. This privilege is useful for providing bind variable consistency after recoverable errors.

Note: If this privilege is granted or revoked between runtime and failover of a request, then the original values are not returned during replay for Application Continuity for that request.

KEEP SYSGUID

The SYS_GUID function returns its original value during replay for Application Continuity when the grantee is running the application. This privilege is useful for providing bind variable consistency after recoverable errors.

Note: If this privilege is granted or revoked between runtime and failover of a request, then the original value is not returned during replay for Application Continuity for that request.

PURGE DBA_RECYCLEBIN

Remove all objects from the system-wide recycle bin.

RESUMABLE

Enable resumable space allocation.

SELECT ANY DICTIONARY

Query any data dictionary object in the dictioanry protected schema, with the exception of the following objects: SYS.DEFAULT_PWD$, SYS.ENC$, SYS.LINK$, SYS.USER$, SYS.USER_HISTORY$, and SYS.XS$VERIFIERS.

Note: The privilege will NOT allow the grantee to execute SELECT .. FOR UPDATE on a dictionary table. It will allow “READ” on dictionary objects

SELECT ANY TRANSACTION

Query the contents of the FLASHBACK_TRANSACTION_QUERY view.

Caution: This is a very powerful system privilege, as it lets the grantee view all data in the database, including past data. This privilege should be granted only to users who need to use the Oracle Flashback Transaction Query feature.

Table 18-3 Schema Privileges (Organized by the Operations Authorized)

Schema Privilege Name Operations Authorized

ANALYTIC VIEWS

CREATE ANY ANALYTIC VIEW

Create analytic views in any schema except SYS, AUDSYS.

If the grantee is the schema owner, then grantee should have been granted CREATE ANALYTIC VIEW privilege.

ALTER ANY ANALYTIC VIEW

Rename analytic views in any schema except SYS, AUDSYS.

DROP ANY ANALYTIC VIEW

Drop analytic views in any schema except SYS, AUDSYS .

ATTRIBUTE DIMENSIONS

CREATE ANY ATTRIBUTE DIMENSION

Create attribute dimensions in any schema except SYS,AUDSYS.

If the grantee is the schema owner, then grantee should have been granted CREATE ATTRIBUTE DIMENSION privilege.

ALTER ANY ATTRIBUTE DIMENSION

Rename attribute dimensions in any schema except SYS,AUDSYS.

DROP ANY ATTRIBUTE DIMENSION

Drop attribute dimensions in any schema except SYS,AUDSYS.

AUDIT GROUP:

AUDIT ANY

Audit an object in any schema, except SYS,AUDSYS, using AUDIT schema_objects statements.

ADMINISTER FINE GRAINED AUDIT POLICY

Allow management of fine-grained audit policies in a schema.

CLUSTERS:

CREATE ANY CLUSTER

Create clusters in any schema except SYS,AUDSYS. Behaves similarly to CREATE ANY TABLE.

If the grantee is the schema owner, then grantee should have been granted CREATE CLUSTER privilege.

ALTER ANY CLUSTER

Alter clusters in any schema except SYS, AUDSYS.

DROP ANY CLUSTER

Drop clusters in any schema except SYS,AUDSYS.

DATA REDACTION:

EXEMPT REDACTION POLICY

Bypass any existing Oracle Data Redaction policies and view actual data from tables or views on which Data Redaction policies are defined in the schema.

ADMINISTER REDACTION POLICY

Allow management of redaction policies in a schema.

DIMENSIONS:

CREATE ANY DIMENSION

Create dimensions in any schema except SYS,AUDSYS.

If the grantee is the schema owner, then grantee should have been granted CREATE DIMENSION privilege.

ALTER ANY DIMENSION

Alter dimensions in any schema except SYS,AUDSYS.

DROP ANY DIMENSION

Drop dimensions in any schema except SYS,AUDSYS.

DOMAINS:

CREATE ANY DOMAIN

Create a DOMAIN in any non-dictionary protected schema.

If the grantee is the schema owner, then grantee should have been granted CREATE DOMAIN privilege.

ALTER ANY DOMAIN

Rename a domain in any non-dictionary protected schema.

DROP ANY DOMAIN

Drop a domain in any non-dictionary protected schema.

EXECUTE ANY DOMAIN

Execute a domain in a designated non-dictionary protected schema.

HIERARCHIES

CREATE ANY HIERARCHY

Create hierarchies in any schema except SYS,AUDSYS.

If the grantee is the schema owner, then grantee should have been granted CREATE HIERARCHY privilege.

ALTER ANY HIERARCHY

Rename hierarchies in any schema except SYS,AUDSYS.

DROP ANY HIERARCHY

Drop hierarchies in any schema except SYS, AUDSYS.

INDEXES:

CREATE ANY INDEX

Create in any schema, except SYS, AUDSYS, a domain index or an index on any table in any schema except SYS,AUDSYS.

If the grantee is the schema owner, then grantee should have been granted CREATE INDEX privilege.

ALTER ANY INDEX

Alter indexes in any schema except SYS,AUDSYS.

DROP ANY INDEX

Drop indexes in any schema except SYS,AUDSYS.

INDEXTYPES:

CREATE ANY INDEXTYPE

Create indextypes in any schema except SYS and create comments on indextypes in any schema except SYS.

If the grantee is the schema owner, then grantee should have been granted CREATE INDEXTYPE privilege.

ALTER ANY INDEXTYPE

Modify indextypes in any schema except SYS,AUDSYS.

DROP ANY INDEXTYPE

Drop indextypes in any schema except SYS,AUDSYS.

EXECUTE ANY INDEXTYPE

Reference indextypes in any schema except SYS,AUDSYS.

JOB SCHEDULER OBJECTS:

The following privileges are needed to execute procedures in the DBMS_SCHEDULER package. This privileges do not apply to lightweight jobs, which are not database objects. Refer to Oracle Database Administrator's Guide for more information about lightweight jobs.

CREATE ANY JOB

Create, alter, or drop jobs, chains, schedules, programs, credentials, resource objects, or incompatibility resource objects in any schema except SYS,AUDSYS.

If the grantee is the schema owner, then grantee should have been granted CREATE JOB privilege.

Note: This extremely powerful privilege allows the grantee to execute code as any other user. It should be granted with caution.

LIBRARIES:

Caution: CREATE LIBARARY, CREATE ANY LIBRARY, ALTER ANY LIBRARY, and EXECUTE ANY LIBRARY are extremely powerful privileges that should be granted only to trusted users. Refer to Oracle Database Security Guide before granting these privileges.

CREATE ANY LIBRARY

Create external procedure or function libraries in any schema except SYS,AUDSYS.

If the grantee is the schema owner, then grantee should have been granted CREATE LIBRARY privilege.

ALTER ANY LIBRARY

Alter external procedure or function libraries in any schema except SYS,AUDSYS.

DROP ANY LIBRARY

Drop external procedure or function libraries in any schema except SYS,AUDSYS.

EXECUTE ANY LIBRARY

Use external procedure or function libraries in any schema except SYS,AUDSYS.

MATERIALIZED VIEWS:

CREATE ANY MATERIALIZED VIEW

Create materialized views in any schema except SYS,AUDSYS.

If the grantee is the schema owner, then grantee should have been granted CREATE MATERIALIZED VIEW privilege.

ALTER ANY MATERIALIZED VIEW

Alter materialized views in any schema except SYS,AUDSYS.

DROP ANY MATERIALIZED VIEW

Drop materialized views in any schema except SYS,AUDSYS.

GLOBAL QUERY REWRITE

Enable rewrite using a materialized view when that materialized view references tables or views in any schema except SYS.

FLASHBACK ANY TABLE

Issue a SQL Flashback Query on any table, view, or materialized view in any schema except SYS. This privilege is not needed to execute the DBMS_FLASHBACK procedures.

MINING MODELS:

CREATE ANY MINING MODEL

Create mining models in any schema, except SYS, AUDSYS, using the DBMS_DATA_MINING.CREATE_MODEL procedure.

If the grantee is the schema owner, then grantee should have been granted CREATE MINING MODEL privilege.

ALTER ANY MINING MODEL

Change the mining model name or the associated cost matrix of a model in any schema, except SYS, AUDSYS, using the applicable DBMS_DATA_MINING procedures.

DROP ANY MINING MODEL

Drop mining models in any schema, except SYS,AUDSYS, using the DBMS_DATA_MINING.DROP_MODEL procedure.

SELECT ANY MINING MODEL

Score or view mining models in any schema except SYS, AUDSYS. Scoring is done either with the PREDICTION family of SQL functions or with the DBMS_DATA_MINING.APPLY procedure. Viewing the model is done with the DBMS_DATA_MINING.GET_MODEL_DETAILS_* procedures.

COMMENT ANY MINING MODEL

Create comments on mining models in any schema, except SYS, AUDSYS, using the SQL COMMENT statement.

OLAP CUBES:

The following privileges are valid when you are using Oracle Database with the OLAP option.

CREATE ANY CUBE

Create OLAP cubes in any schema except SYS,AUDSYS.

If the grantee is the schema owner, then grantee should have been granted CREATE CUBE privilege.

ALTER ANY CUBE

Alter OLAP cubes in any schema except SYS,AUDSYS.

DROP ANY CUBE

Drop OLAP cubes in any schema except SYS,AUDSYS.

SELECT ANY CUBE

Query or view OLAP cubes in any schema except SYS,AUDSYS.

UPDATE ANY CUBE

Update OLAP cubes in any schema except SYS,AUDSYS.

OLAP CUBE MEASURE FOLDERS:

The following privileges are valid when you are using Oracle Database with the OLAP option.

CREATE ANY MEASURE FOLDER

Create OLAP measure folders in any schema except SYS,AUDSYS.

If the grantee is the schema owner, then grantee should have been granted CREATE MEASURE FOLDER privilege.

DELETE ANY MEASURE FOLDER

Delete a measure from an OLAP measure folder in any schema except SYS,AUDSYS.

DROP ANY MEASURE FOLDER

Drop OLAP measure folders in any schema except SYS,AUDSYS.

INSERT ANY MEASURE FOLDER

Insert a measure into an OLAP measure folder in any schema except SYS,AUDSYS.

OLAP CUBE DIMENSIONS:

The following privileges are valid when you are using Oracle Database with the OLAP option.

CREATE ANY CUBE DIMENSION

Create OLAP cube dimensions in any schema except SYS,AUDSYS.

If the grantee is the schema owner, then grantee should have been granted CREATE CUBE DIMENSION privilege.

ALTER ANY CUBE DIMENSION

Alter OLAP cube dimensions in any schema except SYS,AUDSYS.

DELETE ANY CUBE DIMENSION

Delete from OLAP cube dimensions in any schema except SYS, AUDSYS.

DROP ANY CUBE DIMENSION

Drop OLAP cube dimensions in any schema except SYS,AUDSYS.

INSERT ANY CUBE DIMENSION

Insert into OLAP cube dimensions in any schema except SYS,AUDSYS.

SELECT ANY CUBE DIMENSION

View or query OLAP cube dimensions in any schema except SYS,AUDSYS.

UPDATE ANY CUBE DIMENSION

Update OLAP cube dimensions in any schema except SYS,AUDSYS.

OLAP CUBE BUILD PROCESSES:

CREATE ANY CUBE BUILD PROCESS

Create OLAP cube build processes in any schema except SYS,AUDSYS.

If the grantee is the schema owner, then grantee should have been granted CREATE CUBE BUILD PROCESS privilege.

DROP ANY CUBE BUILD PROCESS

Drop OLAP cube build processes in any schema except SYS,AUDSYS.

UPDATE ANY CUBE BUILD PROCESS

Update OLAP cube build processes in any schema except SYS,AUDSYS.

OPERATORS:

CREATE ANY OPERATOR

Create an operator and its bindings in any schema and create a comment on an operator in any schema.

If the grantee is the schema owner, then grantee should have been granted CREATE OPERATOR privilege.

ALTER ANY OPERATOR

Modify operators in any schema.

DROP ANY OPERATOR

Drop operators in any schema.

EXECUTE ANY OPERATOR

Reference operators in any schema.

PROCEDURES:

CREATE ANY PROCEDURE

Create stored procedures, functions, or packages in any schema except SYS,AUDSYS.

If the grantee is the schema owner, then grantee should have been granted CREATE PROCEDURE privilege.

ALTER ANY PROCEDURE

Alter stored procedures, functions, or packages in any schema except SYS,AUDSYS.

DROP ANY PROCEDURE

Drop stored procedures, functions, or packages in any schema except SYS,AUDSYS.

EXECUTE ANY PROCEDURE

Execute procedures or functions, either standalone or packaged.

Reference public package variables in any schema except SYS,AUDSYS.

PROPERTY GRAPHS:

CREATE ANY PROPERTY GRAPH

Create property graph in any schema except SYS, AUDSYS.

If the grantee is the schema owner, then grantee should have been granted CREATE PROPERTY GRAPH privilege.

ALTER ANY PROPERTY GRAPH

Alter property graph in any schema except SYS, AUDSYS.

DROP ANY PROPERTY GRAPH

Drop property graph in any schema except SYS, AUDSYS.

READ ANY PROPERTY GRAPH

Query property graph in any schema except SYS, AUDSYS.

COMMENT ANY PROPERTY GRAPH

Create comments on property graphs in any schema except SYS, AUDSYS.

SEQUENCES:

CREATE ANY SEQUENCE

Create sequences in any schema except SYS,AUDSYS.

If the grantee is the schema owner, then grantee should have been granted CREATE SEQUENCE privilege.

ALTER ANY SEQUENCE

Alter sequences in any schema except SYS,AUDSYS.

DROP ANY SEQUENCE

Drop sequences in any schema except SYS,AUDSYS.

SELECT ANY SEQUENCE

Reference sequences in any schema except SYS,AUDSYS.

SQL TRANSLATION PROFILES:

CREATE ANY SQL TRANSLATION PROFILE

Create SQL translation profiles in any schema except SYS,AUDSYS.

If the grantee is the schema owner, then grantee should have been granted CREATE SQL TRANSLATION PROFILE privilege.

ALTER ANY SQL TRANSLATION PROFILE

Alter the translator, custom SQL statement translations, or custom error translations of a SQL translation profile in any schema except SYS,AUDSYS.

USE ANY SQL TRANSLATION PROFILE

Use SQL translation profiles in any schema except SYS,AUDSYS.

DROP ANY SQL TRANSLATION PROFILE

Drop SQL translation profiles in any schema except SYS,AUDSYS.

TRANSLATE ANY SQL

Translate SQL through the grantee's SQL translation profile for any user.

SYNONYMS:

-

CREATE ANY SYNONYM

Create private synonyms in any schema except SYS,AUDSYS.

If the grantee is the schema owner, then grantee should have been granted CREATE SYNONYM privilege.

DROP ANY SYNONYM

Drop private synonyms in any schema except SYS,AUDSYS.

TABLES:

-

CREATE ANY TABLE

Create a table in any schema except SYS,AUDSYS. The owner of the schema containing the table must have space quota on the tablespace to contain the table.

If the grantee is the schema owner, then grantee should have been granted CREATE TABLE privilege.

ALTER ANY TABLE

Alter a table or view in any schema except SYS, AUDSYS.

BACKUP ANY TABLE

Use the Export utility to incrementally export objects from the schema of other users except SYS,AUDSYS.

DELETE ANY TABLE

Delete rows from tables, table partitions, or views in any schema except SYS,AUDSYS.

DROP ANY TABLE

Drop or truncate tables or table partitions in any schema except SYS,AUDSYS.

INSERT ANY TABLE

Insert rows into tables and views in any schema except SYS,AUDSYS.

LOCK ANY TABLE

Lock tables and views in any schema except SYS,AUDSYS.

READ ANY TABLE

Query tables, views, or materialized views in any schema except SYS,AUDSYS.

SELECT ANY TABLE

Query tables, views, or materialized views in any schema except SYS,AUDSYS. Obtain row locks using a SELECT ... FOR UPDATE.

FLASHBACK ANY TABLE

Issue a SQL Flashback Query on any table, view, or materialized view in any schema except SYS,AUDSYS. This privilege is not needed to execute the DBMS_FLASHBACK procedures.

UPDATE ANY TABLE

Update rows in tables and views in any schema except SYS,AUDSYS.

TRIGGERS:

CREATE ANY TRIGGER

Create database triggers in any schema except SYS, AUDSYS.

If the grantee is the schema owner, then grantee should have been granted CREATE TRIGGER privilege.

ALTER ANY TRIGGER

Enable, disable, or compile database triggers in any schema except SYS,AUDSYS.

DROP ANY TRIGGER

Drop database triggers in any schema except SYS,AUDSYS.

TYPES:

CREATE ANY TYPE

Create object types and object type bodies in any schema except SYS,AUDSYS.

If the grantee is the schema owner, then grantee should have been granted CREATE TYPE privilege.

ALTER ANY TYPE

Alter object types in any schema except SYS,AUDSYS.

DROP ANY TYPE

Drop object types and object type bodies in any schema except SYS,AUDSYS.

EXECUTE ANY TYPE

Use and reference object types and collection types in any schema except SYS,AUDSYS, and invoke methods of an object type in any schema, except SYS,AUDSYS, if you make the grant to a specific user. If you grant EXECUTE ANY TYPE to a role, then users holding the enabled role will not be able to invoke methods of an object type in any schema.

UNDER ANY TYPE

Create subtypes under any nonfinal object types.

VIEWS:

CREATE ANY VIEW

Create views in any schema except SYS,AUDSYS.

If the grantee is the schema owner, then grantee should have been granted CREATE VIEW privilege.

DROP ANY VIEW

Drop views in any schema except SYS,AUDSYS.

UNDER ANY VIEW

Create subviews under any object views.

FLASHBACK ANY TABLE

Issue a SQL Flashback Query on any table, view, or materialized view in any schema except SYS,AUDSYS. This privilege is not needed to execute the DBMS_FLASHBACK procedures.

VIRTUAL PRIVATE DATABASE:

EXEMPT ACCESS POLICY

Bypass fine-grained access control.

Caution: This is a very powerful system privilege, as it lets the grantee bypass application-driven security policies. Database administrators should use caution when granting this privilege.

ADMINISTER ROW LEVEL SECURITY POLICY

Allow management of Virtual Private Database (VPD) policies in a schema (fine-grained access control, row-level security).

MISCELLANEOUS:

ANALYZE ANY

Analyze a table, cluster, or index in any schema except SYS.

COMMENT ANY TABLE

Comment on a table, view, or column in any schema except SYS,AUDSYS.

Table 18-4 Object Privileges (Organized by the Database Object Operated Upon)

Object Privilege Name Operations Authorized

ANALYTIC VIEW PRIVILEGES

The following analytic view privileges authorize operations on analytic views.

ALTER

Rename the analytic view.

READ

Query the object with the SELECT statement.

SELECT Query the object with the SELECT statement.

ATTRIBUTE DIMENSION PRIVILEGES

The following attribute dimension privileges authorize operations on attribute dimensions..

ALTER

Rename the attribute dimension.

DIRECTIVE PRIVILEGES

The object level directive privilege on a user's table allows another user to create a notification directive on it.

DIRECTORY PRIVILEGES

The following directory privileges provide secured access to the files stored in the operating system directory to which the directory object serves as a pointer. The directory object contains the full path name of the operating system directory where the files reside. Because the files are actually stored outside the database, Oracle Database server processes also need to have appropriate file permissions on the file system server. Granting object privileges on the directory database object to individual database users, rather than on the operating system, allows the database to enforce security during file operations.

READ

Read files in the directory.

WRITE

Write files in the directory. This privilege is useful only in connection with external tables. It allows the grantee to determine whether the external table agent can write a log file or a bad file to the directory.

Restriction: This privilege does not allow the grantee to write to a BFILE.

EXECUTE

Execute a preprocessor program that resides in the directory. A preprocessor program converts data to a supported format when loading data records from an external table with the ORACLE_LOADER access driver. Refer to Oracle Database Utilities for more information. This privilege does not implicitly allow READ access on the external table data.

EDITION PRIVILEGE

The following edition privilege authorizes the use of an edition.

USE

Use an edition.

FLASHBACK DATA ARCHIVE PRIVILEGE

The following flashback data archive privilege authorizes operations on flashback data archives.

FLASHBACK ARCHIVE

Enable or disable historical tracking for a table.

HIERARCHY PRIVILEGES

The following hierarchy privileges authorize operations on hierarchies.

ALTER

Rename the hierarchy.

READ

Query the object with the SELECT statement.

SELECT

Query the object with the SELECT statement.

INDEXTYPE PRIVILEGE

The following indextype privilege authorizes operations on indextypes.

EXECUTE

Reference an indextype.

LIBRARY PRIVILEGE

The following library privilege authorizes operations on a library.

EXECUTE

Use and reference the specified object and invoke its methods.

Caution: This extremely powerful privilege should be granted only to trusted users. Refer to Oracle Database Security Guide before granting this privilege.

MATERIALIZED VIEW PRIVILEGES

The following materialized view privileges authorize operations on a materialized view. The DELETE, INSERT, and UPDATE privileges can be granted only to updatable materialized views.

ON COMMIT REFRESH

Create a refresh-on-commit materialized view on the specified table.

QUERY REWRITE

Create a materialized view for query rewrite using the specified table.

READ

Query the materialized view.

SELECT

Query the materialized view. Obtain row locks with the SELECT ... FOR UPDATE or LOCK TABLE statement.

MINING MODEL PRIVILEGES

The following mining model privileges authorize operations on a mining model. These privileges are not required for models within the users own schema.

ALTER

Change the mining model name or the associated cost matrix using the applicable DBMS_DATA_MINING procedures.

SELECT

Score or view the mining model. Scoring is done with the PREDICTION family of SQL functions or with the DBMS_DATA_MINING.APPLY procedure. Viewing the model is done with the DBMS_DATA_MINING.GET_MODEL_DETAILS_* procedures.

OBJECT TYPE PRIVILEGES

The following object type privileges authorize operations on a database object type.

DEBUG

Access, through a debugger, all public and nonpublic variables, methods, and types defined on the object type.

Place a breakpoint or stop at a line or instruction boundary within the type body.

EXECUTE

Use and reference the specified object and invoke its methods.

Access, through a debugger, public variables, types, and methods defined on the object type.

UNDER

Create a subtype under this type. You can grant this object privilege only if you have the UNDER ANY TYPE privilege WITH GRANT OPTION on the immediate supertype of this type.

OLAP PRIVILEGES

The following object privileges are valid if you are using Oracle Database with the OLAP option.

INSERT

Insert members into the OLAP cube dimension or measures into the measures folder.

ALTER

Change the definition of the OLAP cube dimension or cube.

DELETE

Delete members from the OLAP cube dimension or measures from the measures folder.

SELECT

View or query the OLAP cube or cube dimension.

UPDATE

Update measure values of the OLAP cube or attribute values of the cube dimension.

OPERATOR PRIVILEGE

The following operator privilege authorizes operations on user-defined operators.

EXECUTE

Reference an operator.

PROCEDURE, FUNCTION, PACKAGE PRIVILEGES

The following procedure, function, and package privileges authorize operations on procedures, functions, and packages. These privileges also apply to Java sources, classes, and resources, which Oracle Database treats as though they were procedures for purposes of granting object privileges.

DEBUG

Access, through a debugger, all public and nonpublic variables, methods, and types defined on the object.

Place a breakpoint or stop at a line or instruction boundary within the procedure, function, or package. This privilege grants access to the declarations in the method or package specification and body.

EXECUTE

Execute the procedure or function directly, or access any program object declared in the specification of a package, or compile the object implicitly during a call to a currently invalid or uncompiled function or procedure. This privilege does not allow the grantee to explicitly compile using ALTER PROCEDURE or ALTER FUNCTION. For explicit compilation you need the appropriate ALTER system privilege.

Access, through a debugger, public variables, types, and methods defined on the procedure, function, or package. This privilege grants access to the declarations in the method or package specification only.

Job scheduler objects are created using the DBMS_SCHEDULER package. After these objects are created, you can grant the EXECUTE object privilege on job scheduler classes and programs. You can also grant ALTER privilege on job scheduler jobs, programs, and schedules.

Note: Users do not need this privilege to execute a procedure, function, or package indirectly.

PROPERTY GRAPH PRIVILEGES

The following object privileges authorize operations on property graphs.

ALTER

Change the graph definition using ALTER PROPERTY GRAPH statement.

READ

Query the PROPERTY GRAPH with the SELECT statement.

Does not allow SELECT … FOR UPDATE.

SELECT

Query the PROPERTY GRAPH with the SELECT statement.

SCHEDULER PRIVILEGES

Job scheduler objects are created using the DBMS_SCHEDULER package. After these objects are created, you can grant the following privileges.

EXECUTE

Operations on job classes, programs, chains, and credentials.

ALTER

Modifications to jobs, programs, chains, credentials, and schedules.

USE

Associate the specified scheduler resource object with programs and jobs.

SEQUENCE PRIVILEGES

The following sequence privileges authorize operations on a sequence.

ALTER

Change the sequence definition with the ALTER SEQUENCE statement.

KEEP SEQUENCE

The sequence pseudocolumn NEXTVAL retains its original value during replay for Application Continuity when the grantee is running the application. This privilege is useful for providing bind variable consistency when replaying after recoverable errors.

If this privilege is granted or revoked between runtime and failover of a request, then the original value of NEXTVAL is not retained during replay for Application Continuity for that request.

Note: This privilege is not granted by the GRANT ALL PRIVILEGES ON sequence statement. You must explicitly grant this privilege.

Note: This privilege is part of the DBA role.

SELECT

Examine and increment values of the sequence with the CURRVAL and NEXTVAL pseudocolumns.

SQL TRANSLATION PROFILE PRIVILEGES

The following SQL translation profile privileges authorize operations on a SQL translation profile.

ALTER

Alter the translator, custom SQL statement translations, or custom error translations of a SQL translation profile.

USE

Use a SQL translation profile.

SYNONYM PRIVILEGES

Synonym privileges are the same as the privileges for the target object. Granting a privilege on a synonym is equivalent to granting the privilege on the base object. Similarly, granting a privilege on a base object is equivalent to granting the privilege on all synonyms for the object. If you grant to a user a privilege on a synonym, then the user can use either the synonym name or the base object name in the SQL statement that exercises the privilege.

TABLE PRIVILEGES

The following table privileges authorize operations on a table. Any one of following object privileges, except the READ privilege, allows the grantee to lock the table in any lock mode with the LOCK TABLE statement.

Note: For external tables, the only valid object privileges are ALTER, READ, and SELECT.

ALTER

Change the table definition with the ALTER TABLE statement.

DEBUG

Access, through a debugger:

  • PL/SQL code in the body of any triggers defined on the table

  • Information on SQL statements that reference the table directly

DELETE

Remove rows from the table with the DELETE statement.

Note: You must grant the SELECT privilege on the table along with the DELETE privilege if the table is on a remote database.

INDEX

Create an index on the table with the CREATE INDEX statement.

INSERT

Add new rows to the table with the INSERT statement.

Note: You must grant the SELECT privilege on the table along with the INSERT privilege if the table is on a remote database.

READ

Query the table with the SELECT statement. Does not allow SELECT ... FOR UPDATE.

REFERENCES

Create a constraint that refers to the table. You cannot grant this privilege to a role.

SELECT

To allow access to specific tables during queries, grant the SELECT privilege on the table.

Query the table with the SELECT statement, including SELECT ... FOR UPDATE.

UPDATE

Change data in the table with the UPDATE statement.

Note: You must grant the SELECT privilege on the table along with the UPDATE privilege if the table is on a remote database.

FLASHBACK

To allow access to a specific table during queries, grant the FLASHBACK privilege on the table.

Issue a SQL Flashback Query on the table.

SIGN

A user SCOTT with the SIGN privilege on a blockchain table can sign a row in the blockchain table as a delegate if the following condtions are met:

The row does not already have a delegate signature

The row does not contain a non-NULL delegate user ID that is different than the ID of user SCOTT.

USER PRIVILEGES

The following privileges authorize operations on a user.

INHERIT PRIVILEGES

Execute invoker's rights procedures or functions owned by the grantee with the privileges of the invoker when the invoker is the user on whom this privilege is granted.

INHERIT REMOTE PRIVILEGES

Allow the user on whom this privilege is granted to execute definer's rights procedures or functions that contain current user database links and are owned by the grantee.

TRANSLATE SQL

Translate SQL through the grantee's SQL translation profile for the user on whom this privilege is granted.

VIEW PRIVILEGES

The following view privileges authorize operations on a view. Any one of the following object privileges, except the READ privilege, allows the grantee to lock the view in any lock mode with the LOCK TABLE statement.

To grant a privilege on a view, you must have that privilege with the GRANT OPTION on all of the base tables of the view.

DEBUG

Access, through a debugger:

  • PL/SQL code in the body of any triggers defined on the view

  • Information on SQL statements that reference the view directly

DELETE

Remove rows from the view with the DELETE statement.

INSERT

Add new rows to the view with the INSERT statement.

MERGE VIEW

This object privilege has the same behavior as the system privilege MERGE ANY VIEW, except that the privilege is limited to the views specified in the ON clause. For any query issued by the grantee on the specified views, the optimizer can use view merging to improve query performance without performing the checks that would otherwise be performed to ensure that view merging does not violate any security intentions of the view creator.

READ

Query the view with the SELECT statement. Does not allow SELECT ... FOR UPDATE.

REFERENCES

Define foreign key constraints on the view.

SELECT

Query the view with the SELECT statement, including SELECT ... FOR UPDATE.

See Also:object_privilege for additional information on granting this object privilege on a view

UNDER

Create a subview under this view. You can grant this object privilege only if you have the UNDER ANY VIEW privilege WITH GRANT OPTION on the immediate superview of this view.

UPDATE

Change data in the view with the UPDATE statement.

FLASHBACK

To allow access to a specific view during queries, grant the FLASHBACK privilege on the view.

Issue a SQL Flashback Query on the view.

Examples

Granting a System Privilege to a User: Example

To grant the CREATE SESSION system privilege to the sample user hr, allowing hr to log on to Oracle Database, issue the following statement:

GRANT CREATE SESSION 
   TO hr;

Assigning User Passwords When Granting a System Privilege: Example

Assume that user hr exists and user newuser does not exist. The following statement resets the user hr password to password1, creates user newuser with password2, and grants both users the CREATE SESSION system privilege:

GRANT CREATE SESSION
  TO hr, newuser IDENTIFIED BY password1, password2;

Granting System Privileges to a Role: Example

The following statement grants appropriate system privileges to a data warehouse manager role, which was created in the "Creating a Role: Example":

GRANT
     CREATE ANY MATERIALIZED VIEW
   , ALTER ANY MATERIALIZED VIEW
   , DROP ANY MATERIALIZED VIEW
   , QUERY REWRITE
   , GLOBAL QUERY REWRITE
   TO dw_manager
   WITH ADMIN OPTION;

The dw_manager privilege domain now contains the system privileges related to materialized views.

Granting a Role with the ADMIN OPTION: Example

To grant the dw_manager role with the ADMIN OPTION to the sample user sh, issue the following statement:

GRANT dw_manager 
   TO sh 
   WITH ADMIN OPTION; 

User sh can now perform the following operations with the dw_manager role:

  • Enable the role and exercise any privileges in the privilege domain of the role, including the CREATE MATERIALIZED VIEW system privilege

  • Grant and revoke the role to and from other users

  • Drop the role

  • Grant and revoke the dw_manager role to and from program units in the sh schema

Granting a Role with the DELEGATE OPTION: Example

To grant the dw_manager role with the DELEGATE OPTION to the sample user sh, issue the following statement:

GRANT dw_manager 
   TO sh 
   WITH DELEGATE OPTION; 

User sh can now grant and revoke the dw_manager role to and from program units in the sh schema.

Granting Object Privileges to a Role: Example

The following example grants the SELECT object privileges to a data warehouse user role, which was created in the "Creating a Role: Example":

GRANT SELECT ON sh.sales TO warehouse_user;

Granting a Role to a Role: Example

The following statement grants the warehouse_user role to the dw_manager role. Both roles were created in the "Creating a Role: Example":

GRANT warehouse_user TO dw_manager; 

The dw_manager role now contains all of the privileges in the domain of the warehouse_user role.

Granting an Object Privilege on a User: Example

To grant the INHERIT PRIVILEGES object privilege on user sh to user hr, issue the following statement:

GRANT INHERIT PRIVILEGES ON USER sh TO hr;

Granting an Object Privilege on a Directory: Example

To grant READ on directory bfile_dir to user hr, with the GRANT OPTION, issue the following statement:

GRANT READ ON DIRECTORY bfile_dir TO hr
   WITH GRANT OPTION;

Granting Object Privileges on a Table to a User: Example

To grant all privileges on the table oe.bonuses, which was created in "Merging into a Table: Example", to the user hr with the GRANT OPTION, issue the following statement:

GRANT ALL ON bonuses TO hr 
   WITH GRANT OPTION; 

The user hr can subsequently perform the following operations:

  • Exercise any privilege on the bonuses table

  • Grant any privilege on the bonuses table to another user or role

Granting Object Privileges on a View: Example

To grant SELECT and UPDATE privileges on the view emp_view, which was created in "Creating a View: Example", to all users, issue the following statement:

GRANT SELECT, UPDATE 
   ON emp_view TO PUBLIC; 

All users can subsequently query and update the view of employee details.

Granting Object Privileges to a Sequence in Another Schema: Example

To grant SELECT privilege on the customers_seq sequence in the schema oe to the user hr, issue the following statement:

GRANT SELECT 
   ON oe.customers_seq TO hr; 

The user hr can subsequently generate the next value of the sequence with the following statement:

SELECT oe.customers_seq.NEXTVAL 
   FROM DUAL; 

Granting Multiple Object Privileges on Individual Columns: Example

To grant to user oe the REFERENCES privilege on the employee_id column and the UPDATE privilege on the employee_id, salary, and commission_pct columns of the employees table in the schema hr, issue the following statement:

GRANT REFERENCES (employee_id), 
      UPDATE (employee_id, salary, commission_pct) 
   ON hr.employees
   TO oe; 

The user oe can subsequently update values of the employee_id, salary, and commission_pct columns. User oe can also define referential integrity constraints that refer to the employee_id column. However, because the GRANT statement lists only these columns, oe cannot perform operations on any of the other columns of the employees table.

For example, oe can create a table with a constraint:

CREATE TABLE dependent 
   (dependno   NUMBER, 
    dependname VARCHAR2(10), 
    employee   NUMBER 
   CONSTRAINT in_emp REFERENCES hr.employees(employee_id) );

The constraint in_emp ensures that all dependents in the dependent table correspond to an employee in the employees table in the schema hr.