CREATE PLUGGABLE DATABASE
Purpose
Use the CREATE
PLUGGABLE
DATABASE
statement to create a pluggable database (PDB).
This statement enables you to perform the following tasks:
-
Create a PDB by using the seed as a template
Use the
create_pdb_from_seed
clause to create a PDB by using the seed in the multitenant container database (CDB) as a template. The files associated with the seed are copied to a new location and the copied files are then associated with the new PDB. -
Create a PDB by cloning an existing PDB
Use the
create_pdb_clone
clause to create a PDB by copying an existing PDB and then plugging the copy into the CDB. The files associated with the existing PDB are copied to a new location and the copied files are associated with the new PDB. -
Create a PDB by plugging an unplugged PDB into a CDB
Use the
create_pdb_from_xml
clause to plug an unplugged PDB into a CDB, using an XML metadata file. -
Create a proxy PDB by referencing another PDB. A proxy PDB provides fully functional access to the referenced PDB.
Use the
create_pdb_clone
clause and specifyAS
PROXY
FROM
to create a proxy PDB. -
Create an application container, application seed, or application PDB
Use the
create_pdb_from_seed
,create_pdb_clone
, orcreate_pdb_from_xml clause
. To create an application container, you must specify theAS
APPLICATION
CONTAINER
clause. To create an application seed, you must specify theAS
SEED
clause.
Note:
A multitenant container database is the only supported architecture in Oracle Database 21c and later releases. While the documentation is being revised, legacy terminology may persist. In most cases, "database" and "non-CDB" refer to a CDB or PDB, depending on context. In some contexts, such as upgrades, "non-CDB" refers to a non-CDB from a previous release.
Note:
When a new PDB is established in a CDB, it is possible that the name of a service offered by the new PDB will collide with an existing service name. The namespace in which a collision can occur is that of the listener that gives access to the CDB. Within that namespace, collisions are possible among the names of CDB's default services, PDB's default services, and user-defined services. For example, if two or more CDBs on the same computer system use the same listener, and the newly established PDB has the same service name as another PDB in these CDBs, then a collision occurs.
When you create a PDB, you can specify new names for any potential colliding service names. See the clause service_name_convert. If you discover a service name collision after a PDB is created, you must not attempt to operate the PDB that causes a collision with an existing service name. If the colliding name is that of the PDB's default service, then you must rename the PDB. If the colliding name is that of a user-created service within the PDB, then you must drop that service and create one in its place, with a non-colliding name, that has the same purpose and properties.
See Also:
-
Oracle Multitenant Administrator’s Guide for more information on multi-tenant architecture and concepts.
-
ALTER PLUGGABLE DATABASE and DROP PLUGGABLE DATABASE for information on modifying and dropping PDBs
Prerequisites
You must be connected to a CDB. The CDB must be open and in READ
WRITE
mode.
To create a PDB or an application container, the current container must be the root and you must have the CREATE
PLUGGABLE
DATABASE
system privilege, granted commonly.
To create an application seed or an application PDB, the current container must be an application root, the application container must be open and in READ
WRITE
mode, and you must have the CREATE
PLUGGABLE
DATABASE
system privilege, either granted commonly or granted locally in that application container.
To specify the create_pdb_clone
clause:
-
If
src_pdb_name
refers to a PDB in the same CDB, then you must have theCREATE
PLUGGABLE
DATABASE
system privilege in the root of the CDB in which the new PDB will be created and in the PDB being cloned. -
If
src_pdb_name
refers to a PDB in a remote database, then you must have theCREATE
PLUGGABLE
DATABASE
system privilege in the root of the CDB in which the new PDB will be created. In addition, the remote user must have theCREATE
PLUGGABLE
DATABASE
system privilege in the PDB to whichsrc_pdb_name
refers.
See Oracle Multitenant Administrator’s Guide for more information on the prerequisites to PDB creation.
Syntax
create_pluggable_database::=
(create_pdb_from_seed::=, create_pdb_clone::=, create_pdb_from_xml::=)
create_pdb_from_seed::=
(pdb_dba_roles::=, parallel_pdb_creation_clause::=, default_tablespace::=, file_name_convert::=, service_name_convert::=, pdb_storage_clause::=, path_prefix_clause::=, tempfile_reuse_clause::=, user_tablespaces_clause::=, standbys_clause::=, logging_clause::=, create_file_dest_clause::=)
pdb_dba_roles::=
parallel_pdb_creation_clause::=
default_tablespace::=
file_name_convert::=
service_name_convert::=
path_prefix_clause::=
tempfile_reuse_clause::=
user_tablespaces_clause::=
standbys_clause::=
logging_clause::=
create_file_dest_clause::=
create_pdb_clone::=
(parallel_pdb_creation_clause::=, default_tablespace::=, pdb_storage_clause::=, file_name_convert::=, service_name_convert::=, path_prefix_clause::=, tempfile_reuse_clause::=, user_tablespaces_clause::=, standbys_clause::=, logging_clause::=, create_file_dest_clause::=, keystore_clause::=, pdb_refresh_mode_clause::=)
keystore_clause::=
pdb_refresh_mode_clause::=
create_pdb_from_xml::=
(source_file_name_convert::=, source_file_directory::=, file_name_convert::=, service_name_convert::=, default_tablespace::=, pdb_storage_clause::=, path_prefix_clause::=, tempfile_reuse_clause::=, user_tablespaces_clause::=, standbys_clause::=, logging_clause::=, create_file_dest_clause::=)
create_pdb_from_mirror_copy::=
using_snapshot_clause ::=
container_map_clause ::=
pdb_snapshot_clause ::=
source_file_name_convert::=
source_file_directory::=
create_pdb_decrypt_from_xml::=
Semantics
pdb_name
Specify the name of the PDB to be created. The name must satisfy the requirements listed in "Database Object Naming Rules". The first character of a PDB name must be an alphabet character. The remaining characters can be alphanumeric or the underscore character (_
).
The PDB name must be unique in the CDB, and it must be unique within the scope of all the CDBs whose instances are reached through a specific listener.
AS APPLICATION CONTAINER
Specify this clause to create an application container.
using_snapshot_clause
Specify this clause to create a PDB from an existing PDB snapshot that can be identified by its name, SCN, or timestamp.
If you additionally specify SNAPSHOT COPY, then the new PDB will depend on the existence of the specified PDB snapshot. This will affect your ability to drop or purge the new PDB.
AS SEED
Specify this clause to create an application seed. The database assigns the seed a name of the form application_container_name
$SEED
.
An application container can have at most one application seed. The application seed is optional, but, if it exists, you can use it to create application PDBs quickly that match the requirements of the application container. An application seed enables instant provisioning of application PDBs that are created from it.
create_pdb_from_seed
This clause enables you to create a PDB by using the seed in the CDB as a template.
See Also:
ADMIN USER
Use this clause to create an administrative user who can be granted the privileges required to perform administrative tasks on the PDB. For admin_user_name
, specify name of the user to be created. Use the IDENTIFIED BY
clause to specify the password for admin_user_name
. Oracle Database creates a local user in the PDB and grants the PDB_DBA
local role to that user.
pdb_dba_roles
This clause lets you grant one or more roles to the PDB_DBA
role. Use this clause to grant roles that have the privileges required by the administrative user of the PDB. For role
, specify a predefined role. For a list of predefined roles, refer to Oracle Database Security Guide.
You can also use the GRANT
statement to grant roles to the PDB_DBA
role after the PDB has been created. Until you have granted the appropriate privileges to the PDB_DBA
role, the SYS
and SYSTEM
users can perform administrative tasks on a PDB.
parallel_pdb_creation_clause
This clause instructs the CDB to use parallel execution servers to copy the new PDB's data files to a new location. This may result in faster creation of the PDB.
PARALLEL
If you specify PARALLEL
, then the CDB automatically chooses the number of parallel execution servers to use. This is the default if the COMPATIBLE
initialization parameter is set to 12
.2
or higher.
PARALLEL integer
Use integer to specify the number of parallel execution servers to use. The CDB can ignore this setting, depending on the current database load and the number of available parallel execution servers. If you specify a value of 0 or 1, then the CDB does not parallelize the creation of the PDB. This can result in a longer PDB creation time.
default_tablespace
If you specify this clause, then Oracle Database creates a smallfile tablespace and sets it as the default permanent tablespace for the PDB. Oracle Database will assign the default tablespace to any non-SYSTEM
user for whom a different permanent tablespace is not specified. The default_tablespace
clause has the same semantics that it has for the CREATE
DATABASE
statement. For full information, refer to default_tablespace in the documentation on CREATE
DATABASE
.
pdb_storage_clause
Use this clause to specify storage limits for the PDB.
-
Use
MAXSIZE
to limit the amount of storage that can be used by all tablespaces in the PDB to the value specified withsize_clause
. This limit includes the size of data files and temporary files for tablespaces belonging to the PDB. SpecifyMAXSIZE
UNLIMITED
to enforce no limit. -
Use
MAX_AUDIT_SIZE
to limit the amount of storage that can be used by unified audit OS spillover (.bin
format) files in the PDB to the value specified withsize_clause
. SpecifyMAX_AUDIT_SIZE
UNLIMITED
to enforce no limit. -
Use
MAX_DIAG_SIZE
to limit the amount of storage for diagnostics (trace files and incident dumps) in the Automatic Diagnostic Repository (ADR) that can be used by the PDB to the value specified withsize_clause
. SpecifyMAX_DIAG_SIZE
UNLIMITED
to enforce no limit.
If you omit this clause, or specify STORAGE
UNLIMITED
, then there are no storage limits for the PDB. This is equivalent to specifying STORAGE
(MAXSIZE
UNLIMITED
MAX_AUDIT_SIZE
UNLIMITED
MAX_DIAG_SIZE
UNLIMITED
).
file_name_convert
Use this clause to determine how the database generates the names of files (such as data files and wallet files) for the PDB.
-
For
filename_pattern
, specify a string found in names of files associated with the seed (when creating a PDB by using the seed), associated with the source PDB (when cloning a PDB), or listed in the XML file (when plugging a PDB into a CDB). -
For
replacement_filename_pattern
, specify a replacement string.
Oracle Database will replace filename_pattern
with replacement_filename_pattern
when generating the names of files associated with the new PDB.
File name patterns cannot match files or directories managed by Oracle Managed Files.
You can specify FILE_NAME_CONVERT
=
NONE
, which is the same as omitting this clause. If you omit this clause, then the database first attempts to use Oracle Managed Files to generate file names. If you are not using Oracle Managed Files, then the database uses the PDB_FILE_NAME_CONVERT
initialization parameter to generate file names. If this parameter is not set, then an error occurs.
service_name_convert
Use this clause to rename the user-defined services of the new PDB based on the service names of the source PDB. When the service name of a new PDB conflicts with an existing service name in the CDB, plug-in violations can result. This clause enables you to avoid these violations.
-
For
service_name
, specify the name of a service found in the PDB seed (when creating a PDB in an application container by using the application seed) or in the source PDB (when cloning a PDB or plugging a PDB into a CDB). -
For
replacement_service_name
, specify the replacement name for the service.
Oracle Database will use the replacement service name for the service in the PDB being created.
You can specify SERVICE_NAME_CONVERT
=
NONE
, which is the same as omitting this clause.
Restrictions on service_name_convert
The service_name_convert
clause is subject to the following restrictions:
-
You cannot change the name of the default service for a PDB. The default service has the same name as the PDB.
-
You cannot specify this clause when you use the
create_pdb_from_seed
clause to create a PDB from the CDB seed, because the CDB seed does not have user-defined services. You can, however, specify this clause when you use thecreate_pdb_from_seed
clause to create an application PDB from the application seed.
path_prefix_clause
Use this clause to ensure that file paths for directory objects associated with the PDB are restricted to the specified directory or its subdirectories. This clause also ensures that the following files associated with the PDB are restricted to the specified directory: the Oracle XML repository for the PDB, files created with a CREATE
PFILE
statement, and the export directory for Oracle wallets. You cannot modify the setting of this clause after you create the PDB. This clause does not affect files created by Oracle Managed Files.
-
For
path_name
, specify the absolute path name of an operating system directory. The single quotation marks are required, with the result that the path name is case sensitive. Oracle Database usespath_name
as a prefix for all file paths associated with the PDB.Be sure to specify
path_name
so that the resulting path name will be properly formed when relative paths are appended to it. For example, on UNIX systems, be sure to endpath_name
with a forward slash (/
), such as:PATH_PREFIX = '/disk1/oracle/dba/salespdb/'
-
For
directory_object_name
, specify the name of a directory object that exists in the CDB root (CDB$ROOT
). The directory object points to the absolute path to be used forPATH_PREFIX
. -
If you specify
PATH_PREFIX
=
NONE
, then the relative paths for directory objects associated with the PDB are treated as absolute paths and are not restricted to a particular directory.
Omitting the path_prefix_clause
is equivalent to specifying PATH_PREFIX
=
NONE
.
After the path_prefix_clause
is specified for a PDB, existing directory objects might not work as expected, since the PATH_PREFIX
string is always added as a prefix to all local directory objects in the PDB. The path_prefix_clause
only applies to user-created directory objects. It does not apply to Oracle-supplied directory objects.
tempfile_reuse_clause
When you create a PDB, Oracle Database associates temp files with the new PDB. Depending on how you create the PDB, the temp files may already exist and may have been previously used.
Specify TEMPFILE
REUSE
to instruct the database to format and reuse a temp file associated with the new PDB if it already exists. If you specify this clause and a temp file does not exist, then the database creates the temp file.
If you do not specify TEMPFILE
REUSE
and a temp file to be associated with the new PDB already exists, then the database returns an error and does not create the PDB.
user_tablespaces_clause
This clause lets you specify the tablespaces to be made available in the new PDB. The SYSTEM
, SYSAUX
, and TEMP
tablespaces are available in all PDBs and cannot be specified in this clause.
You can use this clause to separate the data for multiple schemas into different PDBs.
-
Specify
tablespace
to make the tablespace available in the new PDB. You can specify more than one tablespace in a comma-separated list. -
Specify
ALL
to make all tablespaces available in the new PDB. This is the default. -
Specify
ALL
EXCEPT
to make all tablespaces available in the new PDB, except the specified tablespaces. -
Specify
NONE
to make only theSYSTEM
,SYSAUX
, andTEMP
tablespaces available in the new PDB.
When the compatibility level of the CDB is 12.2
or higher, the tablespaces that are excluded by this clause are created offline in the new PDB, and they have no data files associated with them. When the compatibility level of the CDB is lower than 12.2
, the tablespaces that are excluded by this clause are offline in the new PDB, and all data files that belong to these tablespaces are unnamed and offline.
{ SNAPSHOT COPY | NO DATA }
These clauses apply only when cloning a PDB with the create_pdb_clone
clause. By default, the database creates each tablespace to be made available in the new PDB according to the settings specified for cloning the PDB. These clauses allow you to override those settings as follows:
-
SNAPSHOT
COPY
- Clone the tablespace using storage snapshots. -
NO
DATA
- Clone the data model definition of the tablespace, but not the tablespace's data.
{ COPY | MOVE | NOCOPY }
These clauses apply when you plug in a PDB with the create_pdb_from_xml
clause. By default, the database creates each tablespace to be made available in the new PDB according to the settings specified for plugging in the PDB. These clauses allow you to override those settings as follows:
-
COPY
- Copy the tablespace files to the new location. -
MOVE
- Move the tablespace files to the new location. -
NOCOPY
- Do not copy or move the tablespace files to the new location.
standbys_clause
Use this clause to specify whether the new PDB is included in one or more standby CDBs. If you include a PDB in a standby CDB, then during standby recovery the standby CDB will search for the data files for the PDB. If the data files are not found, then standby recovery will stop and you must copy the data files to the correct location before you can restart recovery.
-
Specify
cdb_name
to include the new PDB in the specified standby CDB. You can specify more than one standby CDB name in a comma-separated list. -
Specify
ALL
to include the new PDB in all standby CDBs. This is the default. -
Specify
ALL
EXCEPT
to include the new PDB in all standby CDBs, except the specified standby CDBs. -
Specify
NONE
to exclude the new PDB from all standby CDBs. When a PDB is excluded from all standby CDBs, the PDB's data files are unnamed and marked offline on all of the standby CDBs. Standby recovery will not stop if the data files for the PDB are not found on the standby. If you instantiate a new standby CDB after the PDB is created, then you must explicitly disable the PDB for recovery on the new standby CDB.
You can enable a PDB on a standby CDB after it was excluded on that standby CDB by copying the data files to the correct location, bringing the PDB online, and marking it as enabled for recovery.
logging_clause
Use this clause to specify the default logging attribute for tablespaces created within the PDB. The logging attribute controls whether certain DML operations are logged in the redo log file (LOGGING
) or not (NOLOGGING
).The default is LOGGING
.
When creating a tablespace, you can override the default logging attribute by specifying the logging_clause of the CREATE
TABLESPACE
statement.
Refer to logging_clause for a full description of this clause.
create_file_dest_clause
By default, a newly created PDB inherits its Oracle Managed Files settings from the root. If the root uses Oracle Managed Files, then the PDB also uses Oracle Managed Files. The PDB shares the same base file system directory for Oracle Managed Files with the root and has its own subdirectory named with the GUID of the PDB. If the root does not use Oracle Managed Files, then the PDB also does not use Oracle Managed Files.
This clause lets you override the default behavior. You can enable or disable Oracle Managed Files for the PDB and you specify a different base file system directory or Oracle ASM disk group for the PDB's files.
-
Specify
NONE
to disable Oracle Managed Files for the PDB. -
Specify either
directory_path_name
ordiskgroup_name
to enable Oracle Managed Files for the PDB.Specify
directory_path_name
to designate the base file system directory for the PDB's files. Specify the full path name of the operating system directory. The directory must exist and Oracle processes must have appropriate permissions on the directory. The single quotation marks are required, with the result that the path name is case sensitive.Specify
diskgroup_name
to designate the default Oracle ASM disk group for the PDB's files.
If you specify a value other than NONE
, then the database implicitly sets the DB_CREATE_FILE_DEST
initialization parameter with SCOPE=SPFILE
in the PDB.
HOST and PORT
These clauses are useful only if you are creating a PDB that you plan to reference from a proxy PDB. This type of PDB is called a referenced PDB.
When creating a referenced PDB:
-
If the name of the listener is different from the host name of the PDB, then you must specify the
HOST
clause. Forhostname
, specify the fully qualified domain name of the listener. Enclosehostname
in single quotation marks. For example:'myhost.example.com'
.In an Oracle Real Application Clusters (Oracle RAC) environment, you can specify for
hostname
any of the hosts for the PDB. -
If the port number of the listener is not 1521, then you must specify the
PORT
clause. Fornumber
, specify the port number for the listener.
A proxy PDB uses a database link to establish communication with its referenced PDB. After communication is established, the proxy PDB communicates directly with the referenced PDB without using a database link. The host name and port number of the listener for the referenced PDB must be correct for the proxy PDB to function properly.
See Also:
The clause AS PROXY FROM of create_pdb_clone
for information on creating a proxy PDB
create_pdb_clone
This clause enables you to create a new PDB by cloning a source to a target PDB. The source can be a PDB in the local CDB, or a PDB in a remote CDB. The target PDB is the clone of the source.
If the source is a PDB in the local CDB, then the source PDB can be plugged in or unplugged. If the source is a PDB in a remote CDB, then the source PDB must be plugged in.
If the source is a PDB in a remote CDB, then the source and the CDB that contains the target PDB must meet the following requirements:
-
They must have the same endian format.
-
They must have compatible character sets and national character sets, which means:
-
Every character in the source character set is available in the local CDB character set.
-
Every character in the source character set has the same code point value in the local CDB character set.
-
-
They must have the same set of database options installed.
Users in the PDB who used the default temporary tablespace of the source PDB use the default temporary tablespace of the new PDB. Users who used non-default temporary tablespaces in the PDB continue to use the same local temporary tablespaces in the new PDB.
You can clone a united PDB or an isolated PDB with the same command. The only difference is that the keystore password you must provide are for different keystores.
Hot Clone a PDB: Example
CREATE PLUGGABLE DATABASE CDB1_PDB2_CLONE FROM CDB1_PDB2 KEYSTORE IDENTIFIED BY keystore_password
For a united PDB:
-
keystore_password
is theROOT
keystore password. -
The wallet must be open in
ROOT
.
For an isolated PDB:
-
keystore_password
is the new keystore password for the PDBCDB1_PDB2_CLONE
. -
The wallet must be open in
CDB1_PDB2_CLONE
.
Clone a PDB: Example
United PDB
CREATE PLUGGABLE DATABASE CDB1_PDB1_C AS CLONE USING '/tmp/cdb1_pdb3.pdb' KEYSTORE IDENTIFED BY keystore_password DECRYPT USING transport_secret
-
The wallet must be open in
ROOT
, if TDE is in use. -
If there are TDE keys in the
.pdb
file, you must specifyKEYSTORE IDENTIFED BY
and providetransport_secret
. -
keystore_password
is theROOT
keystore password.
Isolated PDB
CREATE PLUGGABLE DATABASE CDB1_PDB2_C AS CLONE USING '/tmp/cdb1_pdb2.pdb'
-
You need not specify
KEYSTORE IDENTIFED BY
ortransport_secret
. If specified, they are ignored. -
The wallet need not be open in
ROOT
.
See Also:
FROM
Use this clause to specify the source PDB. The files associated with the source are copied to a new location and these copied files are then associated with the new PDB.
The source PDB cannot be closed. It can be open as follows:
-
If the CDB that contains the source PDB (the source CDB) is in
ARCHIVELOG
mode and local undo mode, then the source PDB can be open inREAD
WRITE
mode and fully functional during the cloning operation. This is called hot PDB cloning. -
If the source CDB is not in
ARCHIVELOG
mode, then the source PDB must be openREAD
ONLY
.
Specify the source PDBas follows:
-
If the source is a PDB in the local CDB, then use
src_pdb_name
to specify the name of the source PDB. You cannot specifyPDB$SEED
forsrc_pdb_name
. Instead, use the create_pdb_from_seed clause to create a PDB by using the seed as a template. -
If the source is a PDB in a remote CDB, then use
src_pdb_name
to specify the name of the source PDB anddblink
to specify the name of the database link to use to connect to the remote CDB.
AS PROXY FROM
Use this clause to create a proxy PDB by referencing a different PDB, which is referred to as the referenced PDB. The referenced PDB can be in the same CDB as the proxy PDB or in a different CDB. A local proxy PDB is in the same CDB as its referenced PDB, and a remote proxy PDB is in a different CDB than its referenced PDB.
For src_pdb_name
@
dblink
, specify the referenced PDB.
See Also:
default_tablespace
Use this clause to specify a permanent default tablespace for the PDB. Oracle Database will assign the default tablespace to any non-SYSTEM
user for whom a different permanent tablespace is not specified. The tablespace must already exist in the source PDB. Because the tablespace already exists, you cannot specify the DATAFILE
clause or the extent_management_clause
when creating a PDB with the create_pdb_clone
clause.
pdb_storage_clause
Use this clause to specify storage limits for the new PDB. Refer to pdb_storage_clause for the full semantics of this clause.
file_name_convert
Use this clause to determine how the database generates the names of files for the new PDB. Refer to file_name_convert for the full semantics of this clause.
service_name_convert
Use this clause to determine how the database renames services for the new PDB. Refer to service_name_convert::= for the full semantics of this clause.
path_prefix_clause
Use this clause to ensure that all directory object paths associated with the PDB are restricted to the specified directory or its subdirectories. Refer to path_prefix_clause for the full semantics of this clause.
tempfile_reuse_clause
Specify TEMPFILE
REUSE
to instruct the database to format and reuse a temp file associated with the new PDB if it already exists. Refer to tempfile_reuse_clause for the full semantics of this clause.
SNAPSHOT COPY
You can specify SNAPSHOT
COPY
only when cloning a PDB. The source PDB can be in the local CDB or a remote CDB. The SNAPSHOT
COPY
clause instructs the database to clone the source PDB using storage snapshots. This reduces the time required to create the clone because the database does not need to make a complete copy of the source data files.
When you use the SNAPSHOT
COPY
clause to create a clone of a source PDB and the CLONEDB
initialization parameter is set to FALSE
, the underlying file system for the source PDB's files must support storage snapshots. Such file systems include Oracle Advanced Cluster File System (Oracle ACFS) and Direct NFS Client storage.
When you use the SNAPSHOT
COPY
clause to create a clone of a source PDB and the CLONEDB
initialization parameter is set to TRUE
, the underlying file system for the source PDB's files can be any local file system, network file system (NFS), or clustered file system that has Direct NFS enabled. However, the source PDB must remain in open read-only mode as long as any clones exist.
Direct NFS Client enables an Oracle database to access network attached storage (NAS) devices directly, rather than using the operating system kernel NFS client. If the PDB files are stored on Direct NFS Client storage, then the following additional requirements must be met:
-
The source PDB files must be located on an NFS volume.
-
Storage credentials must be stored in a Transparent Data Encryption keystore.
-
The storage user must have the privileges required to create and destroy snapshots on the volume that hosts the source PDB files.
-
Credentials must be stored in the keystore using an
ADMINISTER
KEY
MANAGEMENT
ADD
SECRET
SQL statement.
When you use the SNAPSHOT
COPY
clause to create a clone of a source PDB, the following restrictions apply to the source PDB as long as any clones exist:
-
It cannot be unplugged.
-
It cannot be dropped.
PDB clones created using the SNAPSHOT
COPY
clause cannot be unplugged. They can only be dropped. Attempting to unplug a clone created using the SNAPSHOT
COPY
clause results in an error.
For a PDB created using the SNAPSHOT
COPY
clause in an Oracle Real Application Clusters (Oracle RAC) environment, each node that must access the PDB's files must be mounted. For Oracle RAC databases running on Linux or UNIX platforms, the underlying NFS volumes must be mounted. If the Oracle RAC database is running on a Windows platform and using Direct NFS for shared storage, then you must update the oranfstab
file on all nodes with the created volume export
and mount
entries.
Storage clones are named and tagged using the new PDB GUID. You can query the CLONETAG
column of DBA_PDB_HISTORY
view to view clone tags for storage clones.
keystore_clause
Specify this clause if the source database has encrypted data or a keystore set.
If you want to create the PDB by cloning another PDB, and if the source database has encrypted data or a TDE master encryption key that has been set, then you must provide the keystore password of the target keystore in keystore_password
.
You can find if the source database has encrypted data by querying the DBA_ENCRYPTED_COLUMNS
data dictionary view or the V$ENCRYPTED_TABLESPACES
dynamic performance view.
You can use the EXTERNAL STORE
clause instead of keystore_password
to clone a PDB that is using a united keystore. Note that you must configure the TDE SEPS wallet first before you use this option.
You cannot use the EXTERNAL STORE
clause for a PDB that is using an isolated keystore.
You can set the password to a maximum length of 1024 bytes.
pdb_refresh_mode_clause
The REFRESH
MODE
clause applies only when cloning a PDB. The source PDB must be in a remote CDB, that is, you must specify the source PDB using the FROM
src_pdb_name
@
dblink
clause.
This clause lets you specify the refresh mode of the PDB. You can use this clause to create a refreshable PDB. Changes in the source PDB can be propagated to the refreshable PDB, either manually or automatically. This operation is called a refresh. You can specify the following refresh modes:
-
MANUAL
- This mode allows you to refresh the refreshable PDB manually at any time by issuing anALTER
PLUGGABLE
DATABASE
REFRESH
statement. -
EVERY
refresh_interval
MINUTES
orHOURS
– This mode instructs the database to refresh the refreshable PDB everyrefresh_interval
of selected time units, minutes or hours. If you selectMINUTES
, therefresh_interval
must be less than 3000. If you selectHOURS
, therefresh_interval
must be less than 2000. This mode also allows you to refresh the PDB manually at any time by issuing anALTER
PLUGGABLE
DATABASE
REFRESH
statement. -
NONE
- If you specify this mode, then the clone PDB is not a refreshable PDB. The database cannot refresh the PDB automatically and you cannot refresh the PDB manually. If you specify this mode, then you cannot later change the PDB into a refreshable PDB. This is the default.
A refreshable PDB can be opened only in READ
ONLY
mode. A refreshable PDB must be closed in order for a refresh to occur. If it is not closed when you attempt to perform a manual refresh, then an error will occur. If it is not closed when the database attempts an automatic refresh, then the refresh will be deferred until the next scheduled refresh.
See Also:
-
ALTER
PLUGGABLE
DATABASE
REFRESH for information on refreshing a PDB manually -
ALTER
PLUGGABLE
DATABASE
pdb_refresh_mode_clause for information on changing the refresh mode of a PDB -
Oracle Database Administrator’s Guide for more information on refreshable PDBs
RELOCATE
Use this clause to relocate a PDB from one CDB to another. The database first clones the source PDB to the target PDB, and then removes the source PDB. The database also moves the files associated with the PDB to a new location. This operation is the fastest way to relocate a PDB with minimal down time. The down time for the PDB is approximately the time required to copy the PDB's files from their old location to their new location. The source PDB can be open in READ
WRITE
mode and fully functional during the relocation operation.
Specify REFRESH MODE
to keep the PDB current during the relocate process.
You can specify the availability level with the AVAILABILITY
keyword. The default availability is NORMAL
. If you specify AVAILABILITY
MAX
, then additional operations are performed to ensure a smooth migration of the workload in a persistent connection between source and target.
In the create_pdb_clone
clause, you must use the FROM
src_pdb_name
@
dblink
syntax to identify the location of the source PDB. For src_pdb_name
, specify the name of the source PDB. For dblink
, specify a database link that indicates the location of the source PDB. The database link must have been created in the CDB to which the PDB will be relocated. It can connect either to the root of the remote CDB or to the remote PDB.
KEEP SOURCE
Specify KEEP SOURCE
if you want to keep the source PDB and preserve it in an unplugged state.
See Also:
NO DATA
The NO
DATA
clause applies only when cloning a PDB. This clause specifies that the source PDB's data model definition is cloned, but not the PDB's data. The dictionary data in the source PDB is cloned, but all user-created table and index data from the source PDB is discarded.
Restrictions on the NO DATA Clause
The following restrictions apply to the NO
DATA
clause:
-
The source PDB should be open in read only mode when you use the
NO
DATA
clause to clone a PDB. -
You cannot specify
NO
DATA
if the source PDB contains clustered tables, Advanced Queuing (AQ) tables, index-organized tables, or tables that contain abstract data type columns.
HOST and PORT
These clauses are useful only if you are creating a PDB that you plan to reference from a proxy PDB. This type of PDB is called a referenced PDB. Refer to HOST and PORT for the full semantics of these clauses.
create_pdb_from_xml
This clause enables you to create a PDB by plugging an unplugged PDB (the source database) into a CDB (the target CDB). If the source database is an unplugged PDB, then it may have been unplugged from the target CDB or a different CDB.
The source database and the target CDB must meet the following requirements:
-
They must have the same endian format.
-
They must have compatible character sets and national character sets, which means:
-
Every character in the source database character set is available in the target CDB character set.
-
Every character in the source database character set has the same code point value in the target CDB character set.
-
-
They must have the same set of database options installed.
See Also:
-
Oracle Database PL/SQL Packages and Types Reference for more information on the
DBMS_PDB
package
AS CLONE
Specify this clause only if the target CDB already contains a PDB that was created using the same set of data files. The source files remain as an unplugged PDB and can be used again. Specifying AS
CLONE
also ensures that Oracle Database generates new identifiers, such as DBID and GUID, for the new PDB.
USING
This clause lets you specify a file that contains information about the source database that your are plugging in. For filename
, specify the full path name of the file. You can obtain this file in one of the following ways:
-
If the source database is an unplugged PDB, then the file was created by the
pdb_unplug_clause
ofALTER
PLUGGABLE
DATABASE
as follows:-
If the filename ends with the extension .xml, then it is an XML file containing metadata about the PDB. In this case, you must ensure that the XML metadata file, as well as the PDB's data files, are in a location that is accessible to the CDB.
-
If the filename ends with the extension .pdb, then it is a PDB archive file. This is a compressed file that includes an XML file containing metadata about the PDB, as well as the PDB's data files. The PDB archive file must exist in a location that is accessible to the CDB. When you use a .pdb archive file, this file is extracted when you plug in the PDB, and the PDB’s files are placed in the same directory as the .pdb archive file. Therefore, the
source_file_directory
clause is not required.
-
-
If the source database is a non-CDB, then you must create the XML metadata file using the
DBMS_PDB
package, and ensure that the XML metadata file, as well as the source non-CDB's data files, are in a location that is accessible to the CDB.
See Also:
-
pdb_unplug_clause of
ALTER
PLUGGABLE
DATABASE
-
Oracle Database PL/SQL Packages and Types Reference for more information on the
DBMS_PDB
package
source_file_name_convert
Specify this clause only if the contents of the XML file do not accurately describe the locations of the source files. If the files that must be used to plug in the source database are no longer in the location specified in the XML file, then use this clause to map the specified file names to the actual file names.
-
For
filename_pattern
, specify the string for the location of the files as specified in the XML file. -
For
replacement_filename_pattern
, specify the string for the actual location that contains the files that must be used to create the PDB.
Oracle Database will replace filename_pattern
with replacement_filename_pattern
when searching for the source database files.
File name patterns cannot match files or directories managed by Oracle Managed Files.
If the files that must be used to create the PDB exist in the location specified in the XML file, you can either omit this clause or specify SOURCE_FILE_NAME_CONVERT=NONE
.
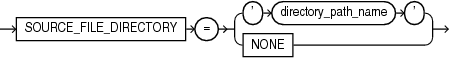
source_file_directory
Specify this clause only if the contents of the XML file do not accurately describe the locations of the source files and the source files are all present in a single directory. This clause is convenient when you have a large number of data files and specifying a replacement file name pattern for each file using the source_file_name_convert
clause is not feasible.
-
For
directory_path_name
, specify the absolute path of the directory that contains the source files. The directory is scanned to find the appropriate files based on the unplugged PDB's XML file.
You can specify this clause for configurations that use Oracle Managed Files and for configurations that do not use Oracle Managed Files.
If the files that must be used to create the PDB exist in the location specified in the XML file, you can either omit this clause or specify SOURCE_FILE_DIRECTORY=NONE
.
COPY
Specify COPY
if you want the files listed in the XML file to be copied to the new location and used for the new PDB. This is the default. You can use the optional file_name_convert
clause to use pattern replacement in the new file names. Refer to file_name_convert for the full semantics of this clause.
MOVE
Specify MOVE
if you want the files listed in the XML file to be moved, rather than copied, to the new location and used for the new PDB. You can use the optional file_name_convert
clause to use pattern replacement in the new file names. Refer to file_name_convert for the full semantics of this clause.
If the storage locations are different mounts, or if the storage locations do not support move at the OS or storage level, then the MOVE
clause first copies the files then deletes the originals.
NOCOPY
Specify NOCOPY
if you want the files for the PDB to remain in their current locations. Use this clause if there is no need to copy or move the files required to plug in the PDB.
service_name_convert
Use this clause to determine how the database renames services for the new PDB. Refer to service_name_convert::= for the full semantics of this clause.
default_tablespace
Use this clause to specify a permanent default tablespace for the PDB. Oracle Database will assign the default tablespace to any non-SYSTEM
user for whom a different permanent tablespace is not specified. The tablespace
must already exist in the source database. Because the tablespace already exists, you cannot specify the DATAFILE
clause or the extent_management_clause
when creating a PDB with the create_pdb_from_xml
clause.
pdb_storage_clause
Use this clause to specify storage limits for the new PDB. Refer to pdb_storage_clause for the full semantics of this clause.
path_prefix_clause
Use this clause to ensure that all directory object paths associated with the PDB are restricted to the specified directory or its subdirectories. Refer to path_prefix_clause for the full semantics of this clause.
tempfile_reuse_clause
Specify TEMPFILE
REUSE
to instruct the database to format and reuse a temp file associated with the new PDB if it already exists. Refer to tempfile_reuse_clause for the full semantics of this clause.
HOST and PORT
These clauses are useful only if you are creating a PDB that you plan to reference from a proxy PDB. This type of PDB is called a referenced PDB. Refer to HOST and PORT for the full semantics of these clauses.
create_pdb_from_mirror_copy
Specify this clause to create a pluggable database new_pdb_name
using the prepared files of the mirror copy mirror_name
. The new PDB will be split from the source database using the prepared files created by the prepare_clause
.
-
You must execute this clause from the root container.
-
The meaning of the other optional parameters remains unchanged by this clause.
-
You can only split one database from a prepared mirror copy. If you want to create additional splits, you must prepare a new mirror copy.
-
You can specify the database link name after you have specifed the mirror copy name in the
prepare_clause
of theALTER PLUGGABLE DATABASE
statement. In addition, the current CDB name should match the target CDB name specified in theprepare_clause
. You must be a valid user in the CDB being referenced by the database link with the system privilegesCREATE SESSION
andCREATE PLUGGABLE DATABASE
. -
If the database link name is omitted, then the base PDB name is looked up in the current CDB.
using_snapshot_clause
Specify this clause to create a PDB using an existing PDB snapshot that can be identified by its name, SCN, or timestamp.
If you create a PDB specifying SNAPSHOT
COPY
, then the new PDB will depend on the existence of the PDB snapshot. This will affect your ability to drop or purge the PDB.
container_map_clause
Specify this clause in CDB Root, Application Root or both to dynamically update changes as they happen to the new PDB.
You must note the following points with container maps:
-
The
container_map_clause
is optional. -
The
add_partition_clause
will add a new partition to the container map defined in the Root (CDB Root and/or Application Root) of the new PDB. -
The
split_partition_clause
will split an existing partition of the container map defined in the Root (CDB Root and/or Application Root) of the new PDB. -
In the absence of
add_partition_clause
andsplit_partition_clause
, container map defined in the Root of the new PDB is not updated. -
For PDB relocate, container map defined in the Root (CDB Root and/or Application Root) of the source PDB are automatically updated to reflect the “drop” of the source PDB.
-
Dynamic maintenance of container map defined using hash partitioning is not supported
Add a New Partition to a Range-Partitioned Container Map: Example
CREATE PLUGGABLE DATABASE cdb1_pdb3 ADMIN USER IDENTIFIED BY manager FILE_NAME_CONVERT=('cdb1_pdb0, cdb1_pdb3') CONTAINER_MAP UPDATE (ADD PARTITION cdb1_pdb3 VALUES LESS THAN (100)); ALTER PLUGGABLE DATABASE cdb1_pdb3 OPEN
Split an Existing Partition of a Range-Partitioned Container Map to Create a New Partition: Example
CREATE PLUGGABLE DATABASE cdb1_pdb4 ADMIN USER IDENTIFIED BY manager FILE_NAME_CONVERT=('cdb1_pdb0, cdb1_pdb4') CONTAINER_MAP UPDATE (SPLIT PARTITION cdb1_pdb3 AT (50) INTO (PARTITION cdb1_pdb3, PARTITION cdb1_pdb3) ALTER PLUGGABLE DATABASE cdb1_pdb4 OPEN
Verify Updated in Range-Partitioned Container Map : Example
SELECT partition_name, high_value FROM dba_tab_partitions WHERE table_name='MAP' AND table_owner='SYS'
pdb_snapshot_clause
Specify this clause if you want to be able to create PDB snapshots.
-
NONE
is the default. It means that no snapshots of the PDB can be created. -
MANUAL
means that the PDB snapshot can only be created manually. -
If snapshot interval is specified, PDB snapshots will be created automatically at specified interval. In addition, a user will also be able to create PDB snapshots manually
-
If expressed in minutes,
snapshot_interval
must be less than 3000. -
If expressed in hours,
snapshot_interval
must be less than 2000.
create_pdb_decrypt_from_xml
You must have the SYSKM
privilege to execute this command.
For PDBs in united mode, the following restrictions apply:
-
You must specify the clause if you are using a TDE protected database. Otherwise it is optional.
-
You need not specify the clause for an isolated PDB.
-
The wallet must be open in
ROOT
. -
The wallet file is copied in all cases:
NOCOPY
,COPY
, andMOVE
.
Plugging a PDB from an XML Metadata File: Example
CREATE PLUGGABLE DATABASE CDB1_PDB2 USING '/tmp/cdb1_pdb2.xml' NOCOPY KEYSTORE IDENTIFIED BY keystore_password DECRYPT USING transport_secret
Plugging a PDB from an Archive File: Example
CREATE PLUGGABLE DATABASE CDB1_PDB1_1_C USING '/tmp/cdb1_pdb3.pdb' DECRYPT USING transport_secret
For PDBs in isolated mode, you need not specify DECRYPT USING transport_secret
. This is not required because the wallet file is copied during the creation of an unplugged PDB from an XML file. if you are creating a PDB from an archive file with the .pdb
extension, the wallet file of the PDB is available in the zipped archive.
If the ewallet.p12
file already exists at the destination, a backup is automatically initiated. The backup file has the following format: ewallet_PLGDB_2017090517455564.p12
.
Examples
Creating a PDB by Using the Seed: Example
The following statement creates a PDB salespdb
by using the seed in the CDB as a template. The administrative user salesadm
is created and granted the dba
role. The default tablespace assigned to any non-SYSTEM
users for whom no permanent tablespace is assigned is sales
. File names for the new PDB will be constructed by replacing /disk1/oracle/dbs/pdbseed/
in the file names in the seed with /disk1/oracle/dbs/salespdb/
. All tablespaces that belong to sales
must not exceed 2G. The location of all directory object paths associated with salespdb
are restricted to the directory /disk1/oracle/dbs/salespdb/
.
CREATE PLUGGABLE DATABASE salespdb
ADMIN USER salesadm IDENTIFIED BY password
ROLES = (dba)
DEFAULT TABLESPACE sales
DATAFILE '/disk1/oracle/dbs/salespdb/sales01.dbf' SIZE 250M AUTOEXTEND ON
FILE_NAME_CONVERT = ('/disk1/oracle/dbs/pdbseed/',
'/disk1/oracle/dbs/salespdb/')
STORAGE (MAXSIZE 2G)
PATH_PREFIX = '/disk1/oracle/dbs/salespdb/';
Cloning a PDB From an Existing PDB: Example
The following statement creates a PDB newpdb
by cloning PDB salespdb
. PDBs newpdb
and salespdb
are in the same CDB. Because no storage limits are explicitly specified, there is no limit on the amount of storage for newpdb
. The files are copied from /disk1/oracle/dbs/salespdb/
to /disk1/oracle/dbs/newpdb/
. The location of all directory object paths associated with newpdb
are restricted to the directory /disk1/oracle/dbs/newpdb/
.
CREATE PLUGGABLE DATABASE newpdb FROM salespdb FILE_NAME_CONVERT = ('/disk1/oracle/dbs/salespdb/', '/disk1/oracle/dbs/newpdb/') PATH_PREFIX = '/disk1/oracle/dbs/newpdb';
Plugging a PDB into a CDB: Example
The following statement plugs the PDB salespdb
, which was previously unplugged, into the CDB. The details about the metadata describing salespdb
are stored in the XML file /disk1/usr/salespdb.xml
. The XML file does not accurately describe the current locations of the files. Therefore, the SOURCE_FILE_NAME_CONVERT
clause is used to indicate that the files are in /disk2/oracle/dbs/salespdb/
, not /disk1/oracle/dbs/salespdb/
. The NOCOPY
clause indicates that the files are already in the correct location. All tablespaces that belong to sales
must not exceed 2G. A file with the same name as the temp file specified in the XML file exists in the target location. Therefore, the TEMPFILE
REUSE
clause is required.
CREATE PLUGGABLE DATABASE salespdb USING '/disk1/usr/salespdb.xml' SOURCE_FILE_NAME_CONVERT = ('/disk1/oracle/dbs/salespdb/', '/disk2/oracle/dbs/salespdb/') NOCOPY STORAGE (MAXSIZE 2G) TEMPFILE REUSE;