CORR_*
The CORR_* functions are:
-
CORR_S -
CORR_K
Syntax
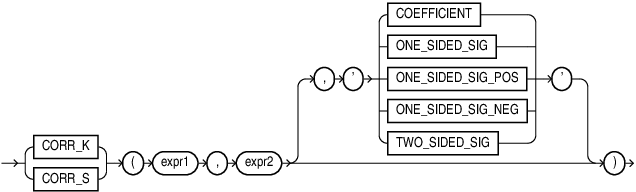
correlation::=
Purpose
The CORR function (see CORR) calculates the Pearson's correlation coefficient and requires numeric expressions as input. The CORR_* functions support nonparametric or rank correlation. They let you find correlations between expressions that are ordinal scaled (where a ranking of the values is possible). Correlation coefficients take on a value ranging from -1 to 1, where 1 indicates a perfect relationship, -1 a perfect inverse relationship (when one variable increases as the other decreases), and a value close to 0 means no relationship.
These functions take two mandatory arguments, expr1 and expr2, and an optional third argument. The return value of the functions is a NUMBER.
The mandatory arguments are the two variables being analyzed. They can be of any data type that is comparable other than LONG, CLOB, BLOB, BFILE, or VECTOR. If the data type is a user-defined type (UDT), it must have a MAP or ORDER method to be comparable.
The third argument specifies the variant of the result returned by the functions. It is of type VARCHAR2 and must be a constant expression, for example, a character literal. If you omit the third argument, then the default is 'COEFFICIENT'. The allowed argument values and their meaning are shown in Table 7-2 Table 7-2:
See Also:
-
Table 2-9 for more information on implicit conversion and Numeric Precedence for information on numeric precedence
-
Appendix C in Oracle AI Database Globalization Support Guide for the collation determination rules, which define the collation
CORR_KandCORR_Suse to compare characters fromexpr1with characters fromexpr2
Table 7-2 CORR_* Return Values
| Return Value | Meaning |
|---|---|
|
|
Coefficient of correlation |
|
|
Positive one-tailed significance of the correlation |
|
|
Same as |
|
|
Negative one-tailed significance of the correlation |
|
|
Two-tailed significance of the correlation |
CORR_S
CORR_S calculates the Spearman's rho correlation coefficient. The input expressions should be a set of (xi, yi) pairs of observations. The function first replaces each value with a rank. Each value of xi is replaced with its rank among all the other xis in the sample, and each value of yi is replaced with its rank among all the other yis. Thus, each xi and yi take on a value from 1 to n, where n is the total number of pairs of values. Ties are assigned the average of the ranks they would have had if their values had been slightly different. Then the function calculates the linear correlation coefficient of the ranks.
CORR_S Example
Using Spearman's rho correlation coefficient, the following example derives a coefficient of correlation for each of two different comparisons -- salary and commission_pct, and salary and employee_id:
SELECT COUNT(*) count,
CORR_S(salary, commission_pct) commission,
CORR_S(salary, employee_id) empid
FROM employees;
COUNT COMMISSION EMPID
---------- ---------- ----------
107 .735837022 -.04473016CORR_K
CORR_K calculates the Kendall's tau-b correlation coefficient. As for CORR_S, the input expressions are a set of (xi, yi) pairs of observations. To calculate the coefficient, the function counts the number of concordant and discordant pairs. A pair of observations is concordant if the observation with the larger x also has a larger value of y. A pair of observations is discordant if the observation with the larger x has a smaller y.
The significance of tau-b is the probability that the correlation indicated by tau-b was due to chance—a value of 0 to 1. A small value indicates a significant correlation for positive values of tau-b (or anticorrelation for negative values of tau-b).
CORR_K Example
Using Kendall's tau-b correlation coefficient, the following example determines whether a correlation exists between an employee's salary and commission percent:
SELECT CORR_K(salary, commission_pct, 'COEFFICIENT') coefficient,
CORR_K(salary, commission_pct, 'TWO_SIDED_SIG') two_sided_p_value
FROM employees;
COEFFICIENT TWO_SIDED_P_VALUE
----------- -----------------
.603079768 3.4702E-07