13.47 PARALLEL_ENABLE Clause
Enables the function for parallel execution, making it safe for use in concurrent sessions of parallel DML evaluations.
Indicates that the function can run from a parallel execution server of a parallel query operation.
PARALLEL_ENABLE clause can appear in the following SQL statements:
Topics
Syntax
parallel_enable_clause ::=
streaming_clause ::=
Semantics
parallel_enable_clause
The parallel_enable_clause can appear only once in the function.
The function must not use session state, such as package variables, because those variables are not necessarily shared among the parallel execution servers.
Use the optional PARTITION argument BY clause only with a function that has a REF CURSOR data type. This clause lets you define the partitioning of the inputs to the function from the REF CURSOR argument. Partitioning the inputs to the function affects the way the query is parallelized when the function is used as a table function in the FROM clause of the query.
ANY
Indicates that the data can be partitioned randomly among the parallel execution servers
Note:
You can partition weak cursor variable arguments to table functions only with ANY, not with RANGE, HASH, or VALUE.
RANGE or HASH
Partitions data into specified columns that are returned by the REF CURSOR argument of the function.
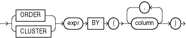
streaming_clause
The optional streaming_clause lets you order or cluster the parallel processing.
ORDER BY | CLUSTER BY
ORDER BY or CLUSTER BY indicates that the rows on a parallel execution server must be locally ordered and have the same key values as specified by the column list.
VALUE
Specifies direct-key partitioning, which is intended for table functions used when executing MapReduce workloads. The column must be of data type NUMBER. VALUE distributes row processing uniformly over the available reducers.
If the column has more reducer numbers than there are available reducers, then PL/SQL uses a modulus operation to map the reducer numbers in the column into the correct range.
When calculating the number of the reducer to process the corresponding row, PL/SQL treats a negative value as zero and rounds a positive fractional value to the nearest integer.
See Also:
Oracle Database Data Cartridge Developer's Guide for information about using parallel table functions
expr
expr identifies the REF CURSOR parameter name of the table function on which partitioning was specified, and on whose columns you are specifying ordering or clustering for each concurrent session in a parallel query execution.
Restriction on parallel_enable_clause
You cannot specify parallel_enable_clause for a nested function.
Related Topics
In this chapter:
In other chapters:

