ALTER SYSTEM
Purpose
Use the ALTER SYSTEM statement to dynamically alter your Oracle Database instance. The settings stay in effect as long as the database is mounted.
When you use the ALTER SYSTEM statement in a multitenant container database (CDB), you can specify some clauses to alter the CDB as a whole and other clauses to alter a specific pluggable database (PDB).
See Also:
Oracle Database Administrator's Guide for complete information on using the ALTER SYSTEM statement in a CDB
Prerequisites
To specify the RELOCATE CLIENT clause, you must be authenticated AS SYSASM.
To specify all other clauses, you must have the ALTER SYSTEM system privilege.
If you are connected to a CDB:
-
To alter the CDB as a whole, the current container must be the root and you must have the commonly granted
ALTERSYSTEMprivilege. -
To alter a PDB, the current container must be the PDB and you must have the
ALTERSYSTEMprivilege, either granted commonly or granted locally in the PDB.
Syntax
alter_system::=
(archive_log_clause::=, checkpoint_clause::=, check_datafiles_clause::=, distributed_recov_clauses::=, end_session_clauses::=, quiesce_clauses::=, rolling_migration_clauses::=, rolling_patch_clauses::=, security_clauses::=, shutdown_dispatcher_clause::=, alter_system_set_clause::=, alter_system_reset_clause::=)
archive_log_clause::=
checkpoint_clause::=
check_datafiles_clause::=
distributed_recov_clauses::=
end_session_clauses::=
quiesce_clauses::=
rolling_migration_clauses::=
rolling_patch_clauses::=
security_clauses::=
set_encryption_key::=
shutdown_dispatcher_clause::=
alter_system_set_clause::=
set_parameter_clause::=
alter_system_reset_clause::=
Semantics
archive_log_clause
The archive_log_clause manually archives redo log files or enables or disables automatic archiving. To use this clause, your instance must have the database mounted. The database can be either open or closed unless otherwise noted.
INSTANCE Clause
This clause is relevant only if you are using Oracle Real Application Clusters (Oracle RAC). Specify the name of the instance for which you want the redo log file group to be archived. The instance name is a string of up to 80 characters. Oracle Database automatically determines the thread that is mapped to the specified instance and archives the corresponding redo log file group. If no thread is mapped to the specified instance, then Oracle Database returns an error.
Specify SEQUENCE to manually archive the online redo log file group identified by the log sequence number integer in the specified thread. If you omit the THREAD parameter, then Oracle Database archives the specified group from the thread assigned to your instance.
Specify CHANGE to manually archive the online redo log file group containing the redo log entry with the system change number (SCN) specified by integer in the specified thread. If the SCN is in the current redo log file group, then Oracle Database performs a log switch. If you omit the THREAD parameter, then Oracle Database archives the groups containing this SCN from all enabled threads.
You can use this clause only when your instance has the database open.
Specify CURRENT to manually archive the current redo log file group of the specified thread, forcing a log switch. If you omit the THREAD parameter, then Oracle Database archives all redo log file groups from all enabled threads, including logs previous to current logs. You can specify CURRENT only when the database is open.
NOSWITCH
Specify NOSWITCH if you want to manually archive the current redo log file group without forcing a log switch. This setting is used primarily with standby databases to prevent data divergence when the primary database shuts down. Divergence implies the possibility of data loss in case of primary database failure.
You can use the NOSWITCH clause only when your instance has the database mounted but not open. If the database is open, then this operation closes the database automatically. You must then manually shut down the database before you can reopen it.
Specify GROUP to manually archive the online redo log file group with the GROUP value specified by integer. You can determine the GROUP value for a redo log file group by querying the dynamic performance view V$LOG. If you specify both the THREAD and GROUP parameters, then the specified redo log file group must be in the specified thread.
LOGFILE Clause
Specify LOGFILE to manually archive the online redo log file group containing the redo log file member identified by 'filename'. If you specify both the THREAD and LOGFILE parameters, then the specified redo log file group must be in the specified thread.
If the database was mounted with a backup control file, then specify USING BACKUP CONTROLFILE to permit archiving of all online logfiles, including the current logfile.
Restriction on the LOGFILE clause
You must archive redo log file groups in the order in which they are filled. If you specify a redo log file group for archiving with the LOGFILE parameter, and earlier redo log file groups are not yet archived, then Oracle Database returns an error.
Specify NEXT to manually archive the next online redo log file group from the specified thread that is full but has not yet been archived. If you omit the THREAD parameter, then Oracle Database archives the earliest unarchived redo log file group from any enabled thread.
Specify ALL to manually archive all online redo log file groups from the specified thread that are full but have not been archived. If you omit the THREAD parameter, then Oracle Database archives all full unarchived redo log file groups from all enabled threads.
Specify TO 'location' to indicate the primary location to which the redo log file groups are archived. The value of this parameter must be a fully specified file location following the conventions of your operating system. If you omit this parameter, then Oracle Database archives the redo log file group to the location specified by the initialization parameters LOG_ARCHIVE_DEST or LOG_ARCHIVE_DEST_n.
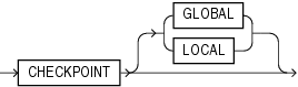
checkpoint_clause
Specify CHECKPOINT to explicitly force Oracle Database to perform a checkpoint, ensuring that all changes made by committed transactions are written to data files on disk. You can specify this clause only when your instance has the database open. Oracle Database does not return control to you until the checkpoint is complete.
GLOBAL
In an Oracle Real Application Clusters (Oracle RAC) environment, this setting causes Oracle Database to perform a checkpoint for all instances that have opened the database. This is the default.
LOCAL
In an Oracle RAC environment, this setting causes Oracle Database to perform a checkpoint only for the thread of redo log file groups for the instance from which you issue the statement.
See Also:
check_datafiles_clause
In a distributed database system, such as an Oracle RAC environment, this clause updates an instance's SGA from the database control file to reflect information on all online data files.
-
Specify
GLOBALto perform this synchronization for all instances that have opened the database. This is the default. -
Specify
LOCALto perform this synchronization only for the local instance.
Your instance should have the database open.
distributed_recov_clauses
The DISTRIBUTED RECOVERY clause lets you enable or disable distributed recovery. To use this clause, your instance must have the database open.
ENABLE
Specify ENABLE to enable distributed recovery. In a single-process environment, you must use this clause to initiate distributed recovery.
You may need to issue the ENABLE DISTRIBUTED RECOVERY statement more than once to recover an in-doubt transaction if the remote node involved in the transaction is not accessible. In-doubt transactions appear in the data dictionary view DBA_2PC_PENDING.
See Also:
DISABLE
Specify DISABLE to disable distributed recovery.
FLUSH SHARED_POOL Clause
The FLUSH SHARED_POOL clause lets you clear data from the shared pool in the system global area (SGA). The shared pool stores:
-
Cached data dictionary information and
-
Shared SQL and PL/SQL areas for SQL statements, stored procedures, functions, packages, and triggers.
This statement does not clear global application context information, nor does it clear shared SQL and PL/SQL areas for items that are currently being executed. You can use this clause regardless of whether your instance has the database dismounted or mounted, open or closed.
See Also:
FLUSH GLOBAL CONTEXT Clause
The FLUSH GLOBAL CONTEXT clause lets you flush all global application context information from the shared pool in the system global area (SGA). You can use this clause regardless of whether your instance has the database dismounted or mounted, open or closed.
FLUSH BUFFER_CACHE Clause
The FLUSH BUFFER_CACHE clause lets you clear all data from the buffer cache in the system global area (SGA), including the KEEP, RECYCLE, and DEFAULT buffer pools.
Note:
This clause is intended for use only on a test database. Do not use this clause on a production database, because as a result of this statement, subsequent queries will have no hits, only misses.
This clause is useful if you need to measure the performance of rewritten queries or a suite of queries from identical starting points.
FLUSH FLASH_CACHE Clause
Use the FLUSH FLASH_CACHE clause to flush the Database Smart Flash Cache. This clause can be useful if you need to measure the performance of rewritten queries or a suite of queries from identical starting points, or if there might be corruption in the cache.
FLUSH REDO Clause
Use the FLUSH REDO clause to flush redo data from a primary database to a standby database and to optionally wait for the flushed redo data to be applied to a physical or logical standby database.
This clause can allow a failover to be performed on the target standby database without data loss, even if the primary database is not in a zero data loss data protection mode, provided that all redo data that has been generated by the primary database can be flushed to the standby database.
The FLUSH REDO clause must be issued on a mounted, but not open, primary database.
target_db_name
For target_db_name, specify the DB_UNIQUE_NAME of the standby database that is to receive the redo data flushed from the primary database.
The value of the LOG_ARCHIVE_DEST_n database initialization parameter that corresponds to the target standby database must contain the DB_UNIQUE_NAME attribute, and the value of that attribute must match the DB_UNIQUE_NAME of the target standby database.
NO CONFIRM APPLY
If you specify this clause, then the ALTER SYSTEM statement will not complete until the standby database has received all of the flushed redo data. You must specify this clause if the target standby database is a snapshot standby database.
CONFIRM APPLY
If you specify this clause, then the ALTER SYSTEM statement will not complete until the target standby database has received and applied all flushed redo data. This is the default behavior unless you specify NO CONFIRM APPLY. You cannot specify this clause if the target standby database is a snapshot standby database.
See Also:
Oracle Data Guard Concepts and Administration for more information about the FLUSH REDO clause and failovers
end_session_clauses
The end_session_clauses give you several ways to end the current session.
Use the DISCONNECT SESSION clause to disconnect the current session by destroying the dedicated server process (or virtual circuit if the connection was made by way of a Shared Server). To use this clause, your instance must have the database open. You must identify the session with both of the following values from the V$SESSION view:
-
For
integer1, specify the value of theSIDcolumn. -
For
integer2, specify the value of theSERIAL#column.
If system parameters are appropriately configured, then application failover will take effect.
-
The
POST_TRANSACTIONsetting allows ongoing transactions to complete before the session is disconnected. If the session has no ongoing transactions, then this clause has the same effect described for asKILLSESSION. -
The
IMMEDIATEsetting disconnects the session and recovers the entire session state immediately, without waiting for ongoing transactions to complete.-
If you also specify
POST_TRANSACTIONand the session has ongoing transactions, then theIMMEDIATEkeyword is ignored. -
If you do not specify
POST_TRANSACTION, or you specifyPOST_TRANSACTIONbut the session has no ongoing transactions, then this clause has the same effect as described forKILLSESSIONIMMEDIATE.See Also:
-
The KILL SESSION clause lets you mark a session as terminated, roll back ongoing transactions, release all session locks, and partially recover session resources. To use this clause, your instance must have the database open. Your session and the session to be terminated must be on the same instance unless you specify integer3.You must identify the session with the following values from the V$SESSION view:
-
For
integer1, specify the value of theSIDcolumn. -
For
integer2, specify the value of theSERIAL#column. -
For the optional
integer3, specify the ID of the instance where the target session to be killed exists. You can find the instance ID by querying the GV$ tables.
If the session is performing some activity that must be completed, such as waiting for a reply from a remote database or rolling back a transaction, then Oracle Database waits for this activity to complete, marks the session as terminated, and then returns control to you. If the waiting lasts a minute, then Oracle Database marks the session to be terminated and returns control to you with a message that the session is marked to be terminated. The PMON background process then marks the session as terminated when the activity is complete.
Whether or not the session has an ongoing transaction, Oracle Database does not recover the entire session state until the session user issues a request to the session and receives a message that the session has been terminated.
See Also:
IMMEDIATE
Specify IMMEDIATE to instruct Oracle Database to roll back ongoing transactions, release all session locks, recover the entire session state, and return control to you immediately.
NOREPLAY
This clause is valid if you are using Application Continuity. When connected to a service with Application Continuity enabled (that is, FAILOVER_TYPE = TRANSACTION), the session is recovered after the session fails or is killed. If you do not want to recover a session after it is terminated, then specify NOREPLAY.
SWITCH LOGFILE Clause
The SWITCH LOGFILE clause lets you explicitly force Oracle Database to begin writing to a new redo log file group, regardless of whether the files in the current redo log file group are full. When you force a log switch, Oracle Database begins to perform a checkpoint but returns control to you immediately rather than when the checkpoint is complete. To use this clause, your instance must have the database open.
See Also:
SUSPEND | RESUME
The SUSPEND clause lets you suspend all I/O (data file, control file, and file header) as well as queries, in all instances, enabling you to make copies of the database without having to handle ongoing transactions.
Restrictions on SUSPEND and RESUME
SUSPEND and RESUME are subject to the following restrictions:
-
Do not use this clause unless you have put the database tablespaces in hot backup mode.
-
Do not terminate the session that issued the
ALTERSYSTEMSUSPENDstatement. An attempt to reconnect while the system is suspended may fail because of recursive SQL that is running during theSYSlogin. -
If you start a new instance while the system is suspended, then that new instance will not be suspended.
The RESUME clause lets you make the database available once again for queries and I/O.
quiesce_clauses
Use the QUIESCE RESTRICTED and UNQUIESCE clauses to put the database in and take it out of the quiesced state. This state enables database administrators to perform administrative operations that cannot be safely performed in the presence of concurrent transactions, queries, or PL/SQL operations.
Note:
The QUIESCE RESTRICTED clause is valid only if the Database Resource Manager is installed and only if the Resource Manager has been on continuously since database startup in any instances that have opened the database.
If multiple QUIESCE RESTRICTED or UNQUIESCE statements issue at the same time from different sessions or instances, then all but one will receive an error.
QUIESCE RESTRICTED
Specify QUIESCE RESTRICTED to put the database in the quiesced state. For all instances with the database open, this clause has the following effect:
-
Oracle Database instructs the Database Resource Manager in all instances to prevent all inactive sessions (other than
SYSandSYSTEM) from becoming active. No user other thanSYSandSYSTEMcan start a new transaction, a new query, a new fetch, or a new PL/SQL operation. -
Oracle Database waits for all existing transactions in all instances that were initiated by a user other than
SYSorSYSTEMto finish (either commit or abort). Oracle Database also waits for all running queries, fetches, and PL/SQL procedures in all instances that were initiated by users other thanSYSorSYSTEMand that are not inside transactions to finish. If a query is carried out by multiple successive OCI fetches, then Oracle Database does not wait for all fetches to finish. It waits for the current fetch to finish and then blocks the next fetch. Oracle Database also waits for all sessions (other than those ofSYSorSYSTEM) that hold any shared resources (such as enqueues) to release those resources. After all these operations finish, Oracle Database places the database into quiesced state and finishes executing theQUIESCERESTRICTEDstatement. -
If an instance is running in shared server mode, then Oracle Database instructs the Database Resource Manager to block logins (other than
SYSorSYSTEM) on that instance. If an instance is running in non-shared-server mode, then Oracle Database does not impose any restrictions on user logins in that instance.
During the quiesced state, you cannot change the Resource Manager plan in any instance.
UNQUIESCE
Specify UNQUIESCE to take the database out of quiesced state. Doing so permits transactions, queries, fetches, and PL/SQL procedures that were initiated by users other than SYS or SYSTEM to be undertaken once again. The UNQUIESCE statement does not have to originate in the same session that issued the QUIESCE RESTRICTED statement.
rolling_migration_clauses
Use these clauses in a clustered Oracle Automatic Storage Management (Oracle ASM) environment to migrate one node at a time to a different Oracle ASM version without affecting the overall availability of the Oracle ASM cluster or the database clusters using Oracle ASM for storage.
START ROLLING MIGRATION
When starting rolling upgrade, for ASM_version, you must specify the following string:
'<version_num>, <release_num>, <update_num>,<port_release_num>,<port_update_num>'
ASM_version must be equal to or greater than 11.1.0.0.0. The surrounding single quotation marks are required. Oracle ASM first verifies that the current release is compatible for migration to the specified release, and then goes into limited functionality mode. Oracle ASM then determines whether any rebalance operations are under way anywhere in the cluster. If there are any such operations, then the statement fails and must be reissued after the rebalance operations are complete.
Rolling upgrade mode is a cluster-wide In-Memory persistent state. The cluster continues to be in this state until there is at least one Oracle ASM instance running in the cluster. Any new instance joining the cluster switches to migration mode immediately upon startup. If all the instances in the cluster terminate, then subsequent startup of any Oracle ASM instance will not be in rolling upgrade mode until you reissue this statement to restart rolling upgrade of the Oracle ASM instances.
STOP ROLLING MIGRATION
Use this clause to stop rolling upgrade and bring the cluster back into normal operation. Specify this clause only after all instances in the cluster have migrated to the same software version. The statement will fail if the cluster is not in rolling upgrade mode.
When you specify this clause, the Oracle ASM instance validates that all the members of the cluster are at the same software version, takes the instance out of rolling upgrade mode, and returns to full functionality of the Oracle ASM cluster. If any rebalance operations are pending because disks have gone offline, then those operations are restarted if the ASM_POWER_LIMIT parameter would not be violated by such a restart.
See Also:
Oracle Automatic Storage Management Administrator's Guide for more information about rolling upgrade
rolling_patch_clauses
Use these clauses in a clustered Oracle Automatic Storage Management (Oracle ASM) environment to update one node at a time to the latest patch level without affecting the overall availability of the Oracle ASM cluster or the database clusters using Oracle ASM for storage.
START ROLLING PATCH
Use this clause to start the rolling patch operation. Oracle ASM first verifies that all live nodes in the cluster are at the same version, and then goes into rolling patch mode, which is a cluster-wide In-Memory persistent state. The cluster continues to be in this state until all live nodes have been patched to the latest patch level.
Any nodes that are down during this operation are not patched. This does not affect the success of the rolling patch operation. However, you must patch these nodes before they are started. Otherwise, they will not be allowed to join the cluster.
STOP ROLLING PATCH
use this clause to stop the rolling patch operation and bring the cluster back into normal operation. Specify this clause only after all live nodes in the cluster have been patched to the latest patch level. The statement will fail if the cluster is not in rolling patch mode.
When you specify this clause, the Oracle ASM instance validates that all members of the cluster are at the same patch level, takes the instance out of rolling patch mode, and returns full functionality of the Oracle ASM cluster. If any members of the cluster are not at the latest patch level, then this operation fails and the cluster goes into limited functionality mode.
The following queries display information about rolling patches. In order to run these queries, you must be connected to the Oracle ASM instance in the Grid home, and the Grid Infrastructure home must be configured with the Oracle Clusterware option for an Oracle RAC environment.
-
You can determine whether a cluster is in rolling patch mode with the following query:
SELECT SYS_CONTEXT('SYS_CLUSTER_PROPERTIES', 'CLUSTER_STATE') FROM DUAL; -
You can determine the patch level of a cluster with the following query:
SELECT SYS_CONTEXT('SYS_CLUSTER_PROPERTIES', 'CURRENT_PATCHLVL') FROM DUAL; -
You can display a list of patches applied on the Oracle ASM instance, by querying the
V$PATCHESdynamic performance view. Refer to Oracle Database Reference for more information.
See Also:
Oracle Automatic Storage Management Administrator's Guide for more information about rolling patches
security_clauses
The security_clauses let you control access to the instance. They also allow you to enable or disable access to the encrypted data in the instance.
The RESTRICTED SESSION clause lets you restrict logon to Oracle Database. You can use this clause regardless of whether your instance has the database dismounted or mounted, open or closed.
-
Specify
ENABLEto allow only users withRESTRICTEDSESSIONsystem privilege to log on to Oracle Database. Existing sessions are not terminated.This clause applies only to the current instance. Therefore, in an Oracle RAC environment, authorized users without the
RESTRICTEDSESSIONsystem privilege can still access the database by way of other instances. -
Specify
DISABLEto reverse the effect of theENABLERESTRICTEDSESSIONclause, allowing all users withCREATESESSIONsystem privilege to log on to Oracle Database. This is the default.
See Also:
Use this clause to manage database access to the Transparent Data Encryption (TDE) master encryption key. The TDE master encryption key is stored in an external security module, which can be an encryption wallet or Hardware Security Module (HSM).
Although this statement begins with the keyword ALTER, an ALTER SYSTEM SET ENCRYPTION WALLET statement is not a DDL clause. However, you cannot roll back such a statement.
Although this clause begins with the SET keyword, do not confuse it with the alter_system_set_clause, which allows you to use the SET keyword to set the value of initialization parameters. ENCRYPTION WALLET is not an initialization parameter.
OPEN
When you specify this clause, the database uses the specified password to open the wallet and load the TDE master key into database memory for the duration of the instance, or establish a connection to the HSM in order to send the encrypted table and tablespace keys to the HSM and receive then back decrypted.
-
Specify
wallet_passwordto retrieve the master encryption key from the encryption wallet. If the wallet is not available or is already open, then the database returns an error. The double quotation marks aroundwallet_passwordare required. -
Specify
HSM_auth_stringto make the HSM accessible.HSM_auth_stringis of the form "user_id:password" where:-
user_idis the user ID created for the database using the HSM management interface -
passwordis the password created for the user ID using the HSM management interface
The double quotation marks around
HSM_auth_stringare required -
CLOSE
Use this clause to disable encryption and decryption in your database. The wallet_password is required to close an encryption wallet. HSM_auth_string is required to disable access to the HSM. Refer to OPEN for details on specifying HSM_auth_string.
A password is not required to close an auto-open wallet when only an auto-open wallet is present. The password is required to close an auto-open wallet when both an auto-open wallet and an encryption wallet are open. In this case, using CLOSE with a password will close the auto-open wallet and the encryption wallet.
See Also:
Oracle Real Application Clusters Administration and Deployment Guide for information on setting encryption wallets in an Oracle Real Application Clusters (Oracle RAC) environment
Use this clause to generate a new TDE master encryption key, if none exists. If there are existing master keys in the HSM or keystore, then this clause rekeys the existing table and tablespace keys, that is, it decrypts all table and tablespace keys with the old master key and reencrypts them with the new master key.
An ALTER SYSTEM SET ENCRYPTION KEY statement is a DDL statement and will automatically commit any pending transactions in the schema.
Although this clause begins with the SET keyword, do not confuse it with the alter_system_set_clause, which allows you to use the SET keyword to set the value of initialization parameters. ENCRYPTION KEY is not an initialization parameter.
IDENTIFIED BY wallet_password
This clause loads the TDE master encryption key from the encryption wallet into memory for access to encrypted data.
-
The
certificate_idis required if you are using PKI asymmetric key pairs as master encryption keys. Specify the integer that identifies the certificate. You can find this value by querying theCERT_IDcolumn of theV$WALLETdynamic performance view. Do not specifycertificate_idif you are using symmetric keys, which are the default. -
For
wallet_password, specify the password used to connect to the security module.
If you specify an invalid certificate_id or wallet_password, then the database returns an error. The double quotation marks around certificate_id and wallet_password are required.
Restriction on IDENTIFIED BY wallet_password
PKI-based master keys, including unified master encryption keys, can only be used with TDE column encryption and an Oracle Wallet, not with HSM.
Note:
The use of PKI encryption with Transparent Data Encryption is deprecated. To configure Transparent Data Encryption, use the ADMINISTER KEY MANAGEMENT statement. See Oracle Database Advanced Security Guide for more information.
IDENTIFIED BY HSM_auth_string
This clause creates a master encryption key that will be stored inside the HSM. The master encryption key is used to encrypt or decrypt table keys inside the HSM.
HSM_auth_string is of the form "user_id:password" where:
-
user_idis the user ID created for the database using the HSM management interface -
passwordis the password created for the user ID using the HSM management interface
The double quotation marks around HSM_auth_string are required.
If you are already using Transparent Data Encryption with an Oracle Wallet and you would like to migrate to an HSM, then specify the MIGRATE USING wallet_password clause. This decrypts the existing table and tablespace keys, and then reencrypts them with the newly created, HSM-based, master encryption key. Note that the wallet is still in use after you migrate to an HSM, because it may contain master encryption keys that were used for export files, RMAN backups, or encrypted data in temporary or undo tablespaces or redo log files. After migrating, perform one of the following steps:
-
Change the wallet password to the
HSM_auth_stringusing Oracle Wallet Manager or theorapkicommand-line tool. -
Create a local auto-open wallet from the encryption wallet and either rename the encryption wallet, or move it out of the directory specified in
ENCRYPTION_WALLET_LOCATIONinsqlnet.ora. Do not delete the encryption wallet and do not forget the wallet password.
See Also:
-
Oracle Database Advanced Security Guide for more information on using Transparent Data Encryption
-
The description of the
CREATETABLE"encryption_spec" for information on using that feature to encrypt table columns
shutdown_dispatcher_clause
The SHUTDOWN clause is relevant only if your system is using the shared server architecture of Oracle Database. It shuts down a dispatcher identified by dispatcher_name.
Note:
Do not confuse this clause with the SQL*Plus command SHUTDOWN, which is used to shut down the entire database.
The dispatcher_name must be a string of the form 'Dxxx', where xxx indicates the number of the dispatcher. For a listing of dispatcher names, query the NAME column of the V$DISPATCHER dynamic performance view.
-
If you specify
IMMEDIATE, then the dispatcher stops accepting new connections immediately and Oracle Database terminates all existing connections through that dispatcher. After all sessions are cleaned up, the dispatcher process shuts down. -
If you do not specify
IMMEDIATE, then the dispatcher stops accepting new connections immediately but waits for all its users to disconnect and for all its database links to terminate. Then it shuts down.
REGISTER Clause
Specify REGISTER to instruct the PMON background process to register the instance with the listeners immediately. If you do not specify this clause, then registration of the instance does not occur until the next time PMON executes the discovery routine. As a result, clients may not be able to access the services for as long as 60 seconds after the listener is started.
See Also:
Oracle Database Concepts and Oracle Database Net Services Administrator's Guide for information on the PMON background process and listeners
alter_system_set_clause
This clause allows you to change parameter values. The set_parameter_clause allows you to change the value of a specified initialization parameter. The USE_STORED_OUTLINES and GLOBAL_TOPIC_ENABLED clauses allow you to change the value of those system parameters.
set_parameter_clause
You can change the value of many initialization parameters for the current instance, whether you have started the database with a traditional plain-text parameter file (pfile) or with a server parameter file (spfile). Oracle Database Reference indicates these parameters in the "Modifiable" category of each parameter description. If you are using a pfile, then the change will persist only for the duration of the instance. However, if you have started the database with an spfile, then you can change the value of the parameter in the spfile itself, so that the new value will occur in subsequent instances.
Oracle Database Reference documents all initialization parameters in full. The parameters fall into three categories:
-
Basic parameters: Database administrators should be familiar with and consider the setting for all of the basic parameters.
-
Functional categories: Oracle Database Reference also lists the initialization parameters by their functional category.
-
Alphabetical listing: The Table of Contents of Oracle Database Reference contains all initialization parameters in alphabetical order.
The ability to change initialization parameter values depends on whether you have started up the database with a traditional plain-text initialization parameter file (pfile) or with a server parameter file (spfile). To determine whether you can change the value of a particular parameter, query the ISSYS_MODIFIABLE column of the V$PARAMETER dynamic performance view.
When setting a parameter value, you can specify additional settings as follows:
COMMENT
The COMMENT clause lets you associate a comment string with this change in the value of the parameter. The comment string cannot contain control characters or a line break. If you also specify SPFILE, then this comment will appear in the parameter file to indicate the most recent change made to this parameter.
DEFERRED
The DEFERRED keyword sets or modifies the value of the parameter for future sessions that connect to the database. Current sessions retain the old value.
You must specify DEFERRED if the value of the ISSYS_MODIFIABLE column of V$PARAMETER for this parameter is DEFERRED. If the value of that column is IMMEDIATE, then the DEFERRED keyword in this clause is optional. If the value of that column is FALSE, then you cannot specify DEFERRED in this ALTER SYSTEM statement.
See Also:
Oracle Database Reference for information on the V$PARAMETER dynamic performance view
CONTAINER
You can specify the CONTAINER clause when you set a parameter value in a CDB. A CDB uses an inheritance model for initialization parameters in which PDBs inherit initialization parameter values from the root. In this case, inheritance means that the value of a particular parameter in the root applies to a particular PDB.
A PDB can override the root's setting for some parameters, which means that a PDB has an inheritance property for each initialization parameter that is either true or false. The inheritance property is true for a parameter when the PDB inherits the root's value for the parameter. The inheritance property is false for a parameter when the PDB does not inherit the root's value for the parameter.
The inheritance property for some parameters must be true. For other parameters, you can change the inheritance property by running the ALTER SYSTEM SET statement to set the parameter when the current container is the PDB. If ISPDB_MODIFIABLE is TRUE for an initialization parameter in the V$SYSTEM_PARAMETER view, then the inheritance property can be false for the parameter.
-
If you specify
CONTAINER=ALL, then the parameter setting applies to all containers in the CDB, including the root and all of the PDBs. The current container must be the root.Specifying
ALLsets the inheritance property to true for the parameter in all PDBs. -
If you specify
CONTAINER=CURRENT, then the parameter setting applies only to the current container. When the current container is the root, the parameter setting applies to the root and to any PDB with an inheritance property of true for the parameter.
If you omit this clause, then CONTAINER = CURRENT is the default.
See Also:
Oracle Database Administrator's Guide for more information on modifying parameters in a CDB
SCOPE
The SCOPE clause lets you specify when the change takes effect. The behavior of this clause depends on whether you are connected to a non-CDB, a CDB root, or a PDB.
When you issue the ALTER SYSTEM statement while connected to a non-CDB or a CDB root, the scope depends on whether you started up the database using a traditional plain-text parameter file (pfile) or server parameter file (spfile).
-
MEMORYindicates that the change is made in memory, takes effect immediately, and persists until the database is shut down. If you started up the database using a parameter file (pfile), then this is the only scope you can specify. -
SPFILEindicates that the change is made in the server parameter file. The new setting takes effect when the database is next shut down and started up again. You must specifySPFILEwhen changing the value of a static parameter that is described as not modifiable in Oracle Database Reference. -
BOTHindicates that the change is made in memory and in the server parameter file. The new setting takes effect immediately and persists after the database is shut down and started up again.
If a server parameter file was used to start up the database, then BOTH is the default. If a parameter file was used to start up the database, then MEMORY is the default, as well as the only scope you can specify.
When you issue the ALTER SYSTEM statement while connected to a PDB, you can modify only initialization parameters for which the ISPDB_MODIFIABLE column is TRUE in the V$SYSTEM_PARAMETER view. The initialization parameter value takes effect only for the PDB. For any initialization parameter that is not set explicitly for a PDB, the PDB inherits the CDB root's parameter value.
-
MEMORYindicates that the change is made in memory and takes effect immediately in the PDB. The setting reverts to the value set in the CDB root in the any of the following cases:-
An
ALTERSYSTEMSETstatement sets the value of the parameter in the root withSCOPEequal toBOTHorMEMORY, and the PDB is closed and reopened. The parameter value in the PDB is not changed ifSCOPEis equal toSPFILE, and the PDB is closed and reopened. -
The PDB is closed and reopened.
-
The CDB is shut down and reopened.
-
-
SPFILEindicates that the change is made for the PDB and stored persistently. The new setting affects only the PDB and takes effect in either of the following cases:-
The PDB is closed and reopened.
-
The CDB is shut down and reopened.
-
-
BOTHindicates that the change is made in memory, made for the PDB, and stored persistently. The new setting takes effect immediately in the PDB and persists after the PDB is closed and reopened or the CDB is shut down and reopened. The new setting affects only the PDB.
When a PDB is unplugged from a CDB, the values of the initialization parameters that were specified for the PDB with SCOPE=BOTH or SCOPE=SPFILE are added to the PDB's XML metadata file. These values are restored for the PDB when it is plugged in to a CDB.
SID
The SID clause lets you specify the SID of the instance where the value will take effect.
-
Specify
SID='*'if you want Oracle Database to change the value of the parameter for all instances that do not already have an explicit setting for this parameter. -
Specify
SID='sid'if you want Oracle Database to change the value of the parameter only for the instancesid. This setting takes precedence over previous and subsequentALTERSYSTEMSETstatements that specifySID='*'.
If you do not specify this clause, then:
-
If the instance was started up with a pfile (traditional plain-text initialization parameter file), then Oracle Database assumes the SID of the current instance.
-
If the instance was started up with an spfile (server parameter file), then Oracle Database assumes
SID='*'.
If you specify an instance other than the current instance, then Oracle Database sends a message to that instance to change the parameter value in the memory of that instance.
Note:
Stored outlines are deprecated. They are still supported for backward compatibility. However, Oracle recommends that you use SQL plan management instead. Refer to Oracle Database SQL Tuning Guide for more information about SQL plan management.
USE_STORED_OUTLINES is a system parameter, not an initialization parameter. You cannot set it in a pfile or spfile, but you can set it with an ALTER SYSTEM statement. This parameter determines whether the optimizer will use stored public outlines to generate execution plans.
-
TRUEcauses the optimizer to use outlines stored in theDEFAULTcategory when compiling requests. -
FALSEspecifies that the optimizer should not use stored outlines. This is the default. -
category_namecauses the optimizer to use outlines stored in thecategory_namecategory when compiling requests.
GLOBAL_TOPIC_ENABLED is a system parameter, not an initialization parameter. You cannot set it in a pfile or spfile, but you can set it with an ALTER SYSTEM statement. This parameter determines whether all queues and topics created in Oracle Streams AQ are automatically registered with the LDAP server. If GLOBAL_TOPIC_ENABLED = TRUE when a queue table is created, altered, or dropped, then the corresponding Lightweight Directory Access Protocol (LDAP) entry is also created, altered or dropped.
The parameter works the same way for the Java Message Service (JMS). If a database has been configured to use LDAP and the GLOBAL_TOPIC_ENABLED parameter has been set to TRUE, then all JMS queues and topics are automatically registered with the LDAP server when they are created. The administrator can also create aliases to the queues and topics registered in LDAP. Queues and topics that are registered in LDAP can be looked up through JNDI using the name or alias of the queue or topic.
When you start your instance, Oracle Database creates shared server processes and dispatcher processes for the shared server architecture based on the values of the SHARED_SERVERS and DISPATCHERS initialization parameters. You can also set the SHARED_SERVERS and DISPATCHERS parameters with ALTER SYSTEM to perform one of the following operations while the instance is running:
-
Create additional shared server processes by increasing the minimum number of shared server processes.
-
Terminate existing shared server processes after their current calls finish processing.
-
Create more dispatcher processes for a specific protocol, up to a maximum across all protocols specified by the initialization parameter
MAX_DISPATCHERS. -
Terminate existing dispatcher processes for a specific protocol after their current user processes disconnect from the instance.
See Also:
-
Oracle Real Application Clusters Administration and Deployment Guide for information on setting parameter values for an individual instance in an Oracle Real Application Clusters environment
-
The following examples of using the
ALTERSYSTEMstatement: "Changing Licensing Parameters: Examples", "Enabling Query Rewrite: Example", "Enabling Resource Limits: Example", "Shared Server Parameters", and "Changing Shared Server Settings: Examples"
alter_system_reset_clause
This clause lets you reset an initialization parameter.
The semantics of this clause are similar to the set_parameter_clause, except instead of changing the value of an initialization parameter, this clause removes the setting of an initialization parameter. Refer to the set_parameter_clause to learn about the parameters you can reset, and for the full semantics of the SCOPE and SID clauses.
RELOCATE CLIENT
This clause is valid only if you are using Oracle Flex ASM. You must issue this clause from within an Oracle ASM instance, not from a normal database instance.
Use this clause to relocate the specified client to the least loaded Oracle ASM instance. When you issue this clause, the connection to the client is terminated and the client fails over to the least loaded instance. If the client is currently connected to the least loaded instance, then the connection to the client is terminated and the client fails over to that same instance.
For client_id, specify a string of the following form enclosed in single quotation marks:
instance_name:db_name
where instance_name is the identifier for the client and db_name is the database name for the client. You can find these values by querying the INSTANCE_NAME and DB_NAME columns of the V$ASM_CLIENT dynamic performance view.
See Also:
-
Oracle Automatic Storage Management Administrator's Guide for more information on managing Oracle Flex ASM
-
Oracle Database Reference for more information on the
V$ASM_CLIENTdynamic performance view
Examples
Archiving Redo Logs Manually: Examples
The following statement manually archives the redo log file group containing the redo log entry with the SCN 9356083:
ALTER SYSTEM ARCHIVE LOG CHANGE 9356083;
The following statement manually archives the redo log file group containing a member named 'diskl:log6.log' to an archived redo log file in the location 'diska:[arch$]':
ALTER SYSTEM ARCHIVE LOG
LOGFILE 'diskl:log6.log'
TO 'diska:[arch$]'; Enabling Query Rewrite: Example
This statement enables query rewrite in all sessions for all materialized views for which query rewrite has not been explicitly disabled:
ALTER SYSTEM SET QUERY_REWRITE_ENABLED = TRUE;
Restricting Sessions: Example
You might want to restrict sessions if you are performing application maintenance and you want only application developers with RESTRICTED SESSION system privilege to log on. To restrict sessions, issue the following statement:
ALTER SYSTEM ENABLE RESTRICTED SESSION;
You can then terminate any existing sessions using the KILL SESSION clause of the ALTER SYSTEM statement.
After performing maintenance on your application, issue the following statement to allow any user with CREATE SESSION system privilege to log on:
ALTER SYSTEM DISABLE RESTRICTED SESSION;
Establishing a Wallet and Encryption Key: Examples
The following statements load information from the server wallet into memory and set the Transparent Data Encryption master key:
ALTER SYSTEM SET ENCRYPTION WALLET OPEN IDENTIFIED BY "password"; ALTER SYSTEM SET ENCRYPTION KEY IDENTIFIED BY "password";
These statements assume that you have initialized the security module and created a wallet with password.
Closing a Wallet: Examples
The following statement removes password-based wallet information from memory:
ALTER SYSTEM SET ENCRYPTION WALLET CLOSE IDENTIFIED BY "password";
The following statement removes password-based wallet information and auto-login information, if present, from memory:
ALTER SYSTEM SET ENCRYPTION WALLET CLOSE;
Clearing the Shared Pool: Example
You might want to clear the shared pool before beginning performance analysis. To clear the shared pool, issue the following statement:
ALTER SYSTEM FLUSH SHARED_POOL;
Forcing a Checkpoint: Example
The following statement forces a checkpoint:
ALTER SYSTEM CHECKPOINT;
Enabling Resource Limits: Example
This ALTER SYSTEM statement dynamically enables resource limits:
ALTER SYSTEM SET RESOURCE_LIMIT = TRUE;
Changing Shared Server Settings: Examples
The following statement changes the minimum number of shared server processes to 25:
ALTER SYSTEM SET SHARED_SERVERS = 25;
If there are currently fewer than 25 shared server processes, then Oracle Database creates more. If there are currently more than 25, then Oracle Database terminates some of them when they are finished processing their current calls if the load could be managed by the remaining 25.
The following statement dynamically changes the number of dispatcher processes for the TCP/IP protocol to 5 and the number of dispatcher processes for the ipc protocol to 10:
ALTER SYSTEM
SET DISPATCHERS =
'(INDEX=0)(PROTOCOL=TCP)(DISPATCHERS=5)',
'(INDEX=1)(PROTOCOL=ipc)(DISPATCHERS=10)';
If there are currently fewer than 5 dispatcher processes for TCP, then Oracle Database creates new ones. If there are currently more than 5, then Oracle Database terminates some of them after the connected users disconnect.
If there are currently fewer than 10 dispatcher processes for ipc, then Oracle Database creates new ones. If there are currently more than 10, then Oracle Database terminates some of them after the connected users disconnect.
If there are currently existing dispatchers for another protocol, then the preceding statement does not affect the number of dispatchers for that protocol.
Changing Licensing Parameters: Examples
The following statement dynamically changes the limit on sessions for your instance to 64 and the warning threshold for sessions on your instance to 54:
ALTER SYSTEM SET LICENSE_MAX_SESSIONS = 64 LICENSE_SESSIONS_WARNING = 54;
If the number of sessions reaches 54, then Oracle Database writes a warning message to the ALERT file for each subsequent session. Also, users with RESTRICTED SESSION system privilege receive warning messages when they begin subsequent sessions.
If the number of sessions reaches 64, then only users with RESTRICTED SESSION system privilege can begin new sessions until the number of sessions falls below 64 again.
The following statement dynamically disables the limit for sessions on your instance. After you issue this statement, Oracle Database no longer limits the number of sessions on your instance.
ALTER SYSTEM SET LICENSE_MAX_SESSIONS = 0;
The following statement dynamically changes the limit on the number of users in the database to 200. After you issue the preceding statement, Oracle Database prevents the number of users in the database from exceeding 200.
ALTER SYSTEM SET LICENSE_MAX_USERS = 200;
Forcing a Log Switch: Example
You might want to force a log switch to drop or rename the current redo log file group or one of its members, because you cannot drop or rename a file while Oracle Database is writing to it. The forced log switch affects only the redo log thread of your instance. The following statement forces a log switch:
ALTER SYSTEM SWITCH LOGFILE;
Enabling Distributed Recovery: Example
The following statement enables distributed recovery:
ALTER SYSTEM ENABLE DISTRIBUTED RECOVERY;
You might want to disable distributed recovery for demonstration or testing purposes. You can disable distributed recovery in both single-process and multiprocess mode with the following statement:
ALTER SYSTEM DISABLE DISTRIBUTED RECOVERY;
When your demonstration or testing is complete, you can then enable distributed recovery again by issuing an ALTER SYSTEM statement with the ENABLE DISTRIBUTED RECOVERY clause.
Terminating a Session: Example
You might want to terminate the session of a user that is holding resources needed by other users. The user receives an error message indicating that the session has been terminated. That user can no longer make calls to the database without beginning a new session. Consider this data from the V$SESSION dynamic performance table, when the users SYS and oe both have open sessions:
SELECT sid, serial#, username
FROM V$SESSION;
SID SERIAL# USERNAME
---------- ---------- ------------------------------
29 85 SYS
33 1
35 8
39 23 OE
40 1
. . .
The following statement terminates the session of the user scott using the SID and SERIAL# values from V$SESSION:
ALTER SYSTEM KILL SESSION '39, 23';
Disconnecting a Session: Example
The following statement disconnects user scott's session, using the SID and SERIAL# values from V$SESSION:
ALTER SYSTEM DISCONNECT SESSION '13, 8' POST_TRANSACTION;














