ALTER DIMENSION
Purpose
Use the ALTER
DIMENSION
statement to change the hierarchical relationships or dimension attributes of a dimension.
See Also:
Prerequisites
The dimension must be in your schema or you must have the ALTER
ANY
DIMENSION
system privilege to use this statement.
A dimension is always altered under the rights of the owner.
Syntax
alter_dimension::=
(level_clause::=, hierarchy_clause::=, attribute_clause::=, extended_attribute_clause::=)
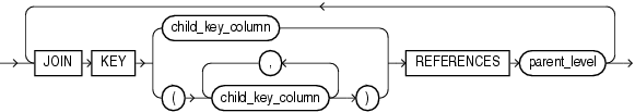
extended_attribute_clause::=
Semantics
The following keywords, parameters, and clauses have meaning unique to ALTER
DIMENSION
. Keywords, parameters, and clauses that do not appear here have the same functionality that they have in the CREATE
DIMENSION
statement. Refer to CREATE DIMENSION for more information.
schema
Specify the schema of the dimension you want to modify. If you do not specify schema
, then Oracle Database assumes the dimension is in your own schema.
dimension
Specify the name of the dimension. This dimension must already exist.
The ADD
clauses let you add a level, hierarchy, or attribute to the dimension. Adding one of these elements does not invalidate any existing materialized view.
Oracle Database processes ADD
LEVEL
clauses prior to any other ADD
clauses.
The DROP
clauses let you drop a level, hierarchy, or attribute from the dimension. Any level, hierarchy, or attribute you specify must already exist.
Within one attribute, you can drop one or more level-to-column relationships associated with one level.
Restriction on DROP
If any attributes or hierarchies reference a level, then you cannot drop the level until you either drop all the referencing attributes and hierarchies or specify CASCADE
.
CASCADE
Specify CASCADE
if you want Oracle Database to drop any attributes or hierarchies that reference the level, along with the level itself.
RESTRICT
Specify RESTRICT
if you want to prevent Oracle Database from dropping a level that is referenced by any attributes or hierarchies. This is the default.
Specify COMPILE
to explicitly recompile an invalidated dimension. Oracle Database automatically compiles a dimension when you issue an ADD
clause or DROP
clause. However, if you alter an object referenced by the dimension (for example, if you drop and then re-create a table referenced in the dimension), Oracle Database invalidates, and you must recompile it explicitly.
Examples
Modifying a Dimension: Examples
The following examples modify the customers_dim
dimension in the sample schema sh
:
ALTER DIMENSION customers_dim DROP ATTRIBUTE country; ALTER DIMENSION customers_dim ADD LEVEL zone IS customers.cust_postal_code ADD ATTRIBUTE zone DETERMINES (cust_city);