man pages section 3: Multimedia Library Functions

Exit Print View

Updated: July 2014
 
 

mlib_SignalIIR_P4_F32_F32(3MLIB )

Name

mlib_SignalIIR_P4_S16_S16_Sat, mlib_SignalIIR_P4_S16S_S16S_Sat, mlib_SignalIIR_P4_F32_F32, mlib_SignalIIR_P4_F32S_F32S - parallel Infinite Impulse Response (IIR) filtering

Synopsis

cc [ flag... ] file... –
lmlib [ library... ]
#include <mlib.h>

mlib_status mlib_SignalIIR_P4_S16_S16_Sat(
mlib_s16 *dst, 
     const mlib_s16 *src, void *
filter, mlib_s32 n
);
mlib_status mlib_SignalIIR_P4_S16S_S16S_Sat
(mlib_s16 *dst, 
     const mlib_s16 *src, void *
filter, mlib_s32 n
);
mlib_status mlib_SignalIIR_P4_F32_F32(
mlib_f32 *dst, 
     const mlib_f32 *src, void *
filter, mlib_s32 n
);
mlib_status mlib_SignalIIR_P4_F32S_F32S(
mlib_f32 *dst, 
     const mlib_f32 *src, void *
filter, mlib_s32 n
);

Description

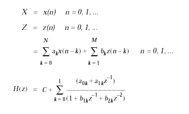
Each of these functions applies a fourth order parallel IIR filter to one signal packet and updates the filter state.

image:Equation that represents the fourth order parallel IIR filtering

The fourth order parallel IIR filter is represented by the following figure:

image:Figure that represents the fourth order parallel IIR filter

Parameters

Each of the functions takes the following arguments:

dst

Destination signal array.

src

Source signal array.

filter

Internal filter structure.

n

Number of signal samples.

Return Values

Each of the functions returns MLIB_SUCCESS if successful. Otherwise it returns MLIB_FAILURE.

Attributes

See attributes(5) for descriptions of the following attributes:

ATTRIBUTE TYPE
ATTRIBUTE VALUE
Interface Stability
Committed
MT-Level
MT-Safe

See also

mlib_SignalIIR_Biquad_S16_S16_Sat(3MLIB), mlib_SignalIIRFree_Biquad_S16_S16(3MLIB), mlib_SignalIIRFree_P4_S16_S16(3MLIB), mlib_SignalIIRInit_Biquad_S16_S16(3MLIB), mlib_SignalIIRInit_P4_S16_S16(3MLIB), attributes(5)