BEA Logo BEA Tuxedo Release 7.1

  Corporate Info  |  News  |  Solutions  |  Products  |  Partners  |  Services  |  Events  |  Download  |  How To Buy

 

   Tuxedo Doc Home   |   Programming   |   Topic List   |   Previous   |   Next   |   Contents

   Programming a BEA Tuxedo Application Using C

What Are Multithreading and Multicontexting

The BEA Tuxedo system allows you to use a single process to perform multiple tasks simultaneously. The programming techniques for implementing this sort of process usage are multithreading and multicontexting. This topic provides basic information about these techniques:

What Is Multithreading

Multithreading is the inclusion of more than one unit of execution in a single process. In a multithreaded application, multiple simultaneous calls can be made from the same process. For example, an individual process is not limited to one outstanding tpcall().

In a server, multithreading requires multicontexting except when application-created threads are used in a singled-context server. The only way to create a multithreaded, single-context application is to use application-created threads.

The BEA Tuxedo system supports multithreaded applications written in C. It does not support multithreaded COBOL applications.

The following diagram shows how a multithreaded client can issue calls to three servers simultaneously.

Sample Multithreaded Process

In a multithreaded application, multiple service-dispatched threads are available in the same server, which means that fewer servers need to be started for that application.

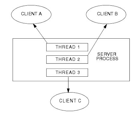
The following diagram shows how a server process can dispatch multiple threads to different clients simultaneously.

Multiple Service Threads Dispatched in One Server Process

What Is Multicontexting

A context is an association to a domain. Multicontexting is the ability of a single process to have one of the following:

Multicontexting can be used in both clients and servers. When used in servers, multicontexting implies the use of multithreading, as well.

For a more complete list of the characteristics of a context, see "Context Attributes" in one of the following sections:

The BEA Tuxedo system supports multicontexted applications written in either C or COBOL. Multithreaded applications, however, are supported only in C.

The following diagram shows how a multicontexted client process works within a domain. Each arrow represents an outstanding call to a server.

Multicontexted Process in Two Domains

Licensing a Multithreaded or Multicontexted Application

For licensing purposes, each context is counted as one user. Additional licenses are not required to accommodate multiple threads within one context. For example:

See Also