PREDICTION

Syntax

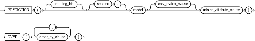
Analytic Syntax

prediction_analytic::=

cost_matrix_clause::=

mining_attribute_clause::=

mining_analytic_clause::=

See Also:

"Analytic Functions" for information on the syntax, semantics, and restrictions of mining_analytic_clause

Purpose

PREDICTION returns a prediction for each row in the selection. The data type of the returned prediction depends on whether the function performs Regression, Classification, or Anomaly Detection.

  • Regression: Returns the expected target value for each row. The data type of the return value is the data type of the target.

  • Classification: Returns the most probable target class (or lowest cost target class, if costs are specified) for each row. The data type of the return value is the data type of the target.

  • Anomaly Detection: Returns 1 or 0 for each row. Typical rows are classified as 1. Rows that differ significantly from the rest of the data are classified as 0.

cost_matrix_clause

Costs are a biasing factor for minimizing the most harmful kinds of misclassifications. You can specify cost_matrix_clause for Classification or Anomaly Detection. Costs are not relevant for Regression. The cost_matrix_clause behaves as described for "PREDICTION_COST".

Syntax Choice

PREDICTION can score data by applying a mining model object to the data, or it can dynamically score the data by executing an analytic clause that builds and applies one or more transient mining models. Choose Syntax or Analytic Syntax:

  • Syntax: Use the prediction syntax to score the data with a pre-defined model. Supply the name of a model that performs classification, regression, or anomaly detection.

    Use the prediction_ordered syntax for a model that requires ordered data, such as an MSET-SPRT model. The prediction_ordered syntax requires an order_by_clause clause.

    Restrictions on the prediction_ordered syntax are that you cannot use it in the WHERE clause of a query. Also, you cannot use a query_partition_clause or a windowing_clause with the prediction_ordered syntax.

    For details about the order_by_clause, see "Analytic Functions".

  • Analytic Syntax: Use the analytic syntax to score the data without a pre-defined model. The analytic syntax uses mining_analytic_clause , which specifies if the data should be partitioned for multiple model builds. The mining_analytic_clause supports a query_partition_clause and an order_by_clause. (See "analytic_clause::=".)

    • For Regression, specify FOR expr, where expr is an expression that identifies a target column that has a numeric data type.

    • For Classification, specify FOR expr, where expr is an expression that identifies a target column that has a character data type.

    • For Anomaly Detection, specify the keywords OF ANOMALY.

The syntax of the PREDICTION function can use an optional GROUPING hint when scoring a partitioned model. See GROUPING Hint.

mining_attribute_clause

mining_attribute_clause identifies the column attributes to use as predictors for scoring.

  • If you specify USING *, all the relevant attributes present in the input row are used.

  • If you invoke the function with the analytic syntax, the mining_attribute_clause is used both for building the transient models and for scoring.

  • It you invoke the function with a pre-defined model, the mining_attribute_clause should include all or some of the attributes that were used to create the model. The following conditions apply:

    • If mining_attribute_clause includes an attribute with the same name but a different data type from the one that was used to create the model, then the data type is converted to the type expected by the model.

    • If you specify more attributes for scoring than were used to create the model, then the extra attributes are silently ignored.

    • If you specify fewer attributes for scoring than were used to create the model, then scoring is performed on a best-effort basis.

See Also:

Note:

The following examples are excerpted from the Oracle Machine Learning for SQL sample programs. For more information about the sample programs, see Appendix A in Oracle Machine Learning for SQL User’s Guide.

Example

In this example, the model dt_sh_clas_sample predicts the gender and age of customers who are most likely to use an affinity card (target = 1). The PREDICTION function takes into account the cost matrix associated with the model and uses marital status, education, and household size as predictors.

SELECT cust_gender, COUNT(*) AS cnt, ROUND(AVG(age)) AS avg_age
   FROM mining_data_apply_v
   WHERE PREDICTION(dt_sh_clas_sample COST MODEL
      USING cust_marital_status, education, household_size) = 1
   GROUP BY cust_gender
   ORDER BY cust_gender;
   
CUST_GENDER         CNT    AVG_AGE
------------ ---------- ----------
F                   170         38
M                   685         42

The cost matrix associated with the model dt_sh_clas_sample is stored in the table dt_sh_sample_costs. The cost matrix specifies that the misclassification of 1 is 8 times more costly than the misclassification of 0.

SQL> select * from dt_sh_sample_cost;
 
ACTUAL_TARGET_VALUE PREDICTED_TARGET_VALUE         COST
------------------- ---------------------- ------------
                  0                      0   .000000000
                  0                      1  1.000000000
                  1                      0  8.000000000
                  1                      1   .000000000

Analytic Example

In this example, dynamic regression is used to predict the age of customers who are likely to use an affinity card. The query returns the 3 customers whose predicted age is most different from the actual. The query includes information about the predictors that have the greatest influence on the prediction.

SELECT cust_id, age, pred_age, age-pred_age age_diff, pred_det FROM
   (SELECT cust_id, age, pred_age, pred_det,
          RANK() OVER (ORDER BY ABS(age-pred_age) desc) rnk FROM
   (SELECT cust_id, age,
           PREDICTION(FOR age USING *) OVER () pred_age,
           PREDICTION_DETAILS(FOR age ABS USING *) OVER () pred_det
    FROM mining_data_apply_v))
  WHERE rnk <= 3;
 
CUST_ID  AGE PRED_AGE AGE_DIFF PRED_DET
------- ---- -------- -------- -------- ----------------------------------------------------------
 100910   80    40.67    39.33 <Details algorithm="Support Vector Machines">
                               <Attribute name="HOME_THEATER_PACKAGE" actualValue="1" weight=".059"
                                rank="1"/>
                               <Attribute name="Y_BOX_GAMES" actualValue="0" weight=".059"
                                rank="2"/>
                               <Attribute name="AFFINITY_CARD" actualValue="0" weight=".059"
                                rank="3"/>
                               <Attribute name="FLAT_PANEL_MONITOR" actualValue="1" weight=".059"
                                rank="4"/>
                               <Attribute name="YRS_RESIDENCE" actualValue="4" weight=".059"
                                rank="5"/>
                               </Details>
 
 101285    79   42.18    36.82 <Details algorithm="Support Vector Machines">
                               <Attribute name="HOME_THEATER_PACKAGE" actualValue="1" weight=".059"
                                rank="1"/>
                               <Attribute name="HOUSEHOLD_SIZE" actualValue="2" weight=".059"
                                rank="2"/>
                               <Attribute name="CUST_MARITAL_STATUS" actualValue="Mabsent"
                                weight=".059" rank="3"/>
                               <Attribute name="Y_BOX_GAMES" actualValue="0" weight=".059"
                                rank="4"/>
                               <Attribute name="OCCUPATION" actualValue="Prof." weight=".059"
                                rank="5"/>
                               </Details>
 
 100694     77  41.04    35.96 <Details algorithm="Support Vector Machines">
                               <Attribute name="HOME_THEATER_PACKAGE" actualValue="1" weight=".059"
                                rank="1"/>
                               <Attribute name="EDUCATION" actualValue="&lt; Bach." weight=".059"
                                rank="2"/>
                               <Attribute name="Y_BOX_GAMES" actualValue="0" weight=".059"
                                rank="3"/>
                               <Attribute name="CUST_ID" actualValue="100694" weight=".059"
                                rank="4"/>
                               <Attribute name="COUNTRY_NAME" actualValue="United States of
                                America" weight=".059" rank="5"/>
                               </Details>