CREATE TRIGGER
Purpose
Triggers are defined using PL/SQL. Therefore, this section provides some general information but refers to Oracle Database PL/SQL Language Reference for details of syntax and semantics.
Use the CREATE TRIGGER statement to create a database trigger, which is:
-
A stored PL/SQL block associated with a table, a schema, or the database or
-
An anonymous PL/SQL block or a call to a procedure implemented in PL/SQL or Java
Oracle Database automatically executes a trigger when specified conditions occur.
See Also:
Prerequisites
To create a trigger in your own schema on a table in your own schema or on your own schema (SCHEMA), you must have the CREATE TRIGGER system privilege.
To create a trigger in any schema on a table in any schema, or on another user's schema (schema.SCHEMA), you must have the schema level CREATE ANY TRIGGER privilege both in the schema where the trigger is created and in the schema where table resides, or you must have the CREATE ANY TRIGGER system privilege.
In addition to the preceding privileges, to create a trigger on DATABASE, you must have the ADMINISTER DATABASE TRIGGER system privilege.
To create a trigger on a pluggable database (PDB), the current container must be that PDB and you must have the ADMINISTER DATABASE TRIGGER system privilege. For information about PDBs, see Oracle Database Administrator's Guide.
In addition to the preceding privileges, to create a crossedition trigger, you must be enabled for editions. For information about enabling editions for a user, see Oracle Database Development Guide.
If the trigger issues SQL statements or calls procedures or functions, then the owner of the trigger must have the privileges necessary to perform these operations. These privileges must be granted directly to the owner rather than acquired through roles.
Syntax
Triggers are defined using PL/SQL. Therefore, the syntax diagram in this book shows only the SQL keywords. Refer to Oracle Database PL/SQL Language Reference for the PL/SQL syntax, semantics, and examples.
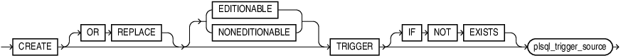
create_trigger::=
(plsql_trigger_source: See Oracle Database PL/SQL Language Reference.)
Semantics
OR REPLACE
Specify OR REPLACE to re-create the trigger if it already exists. Use this clause to change the definition of an existing trigger without first dropping it.
IF NOT EXISTS
Specifying IF NOT EXISTS has the following effects:
-
If the trigger does not exist, a new trigger is created at the end of the statement.
-
If the trigger exists, this is the trigger you have at the end of the statement. A new one is not created because the older one is detected.
You can have one of OR REPLACE or IF NOT EXISTS in a statement at a time. Using both OR REPLACE with IF NOT EXISTS in the very same statement results in the following error: ORA-11541: REPLACE and IF NOT EXISTS cannot coexist in the same DDL statement.
Using IF EXISTS with CREATE results in ORA-11543: Incorrect IF NOT EXISTS clause for CREATE statement.
[ EDITIONABLE | NONEDITIONABLE ]
Use these clauses to specify whether the trigger is an editioned or noneditioned object if editioning is enabled for the schema object type TRIGGER in schema. The default is EDITIONABLE. For information about editioned and noneditioned objects, see Oracle Database Development Guide.
Restriction on NONEDITIONABLE
You cannot specify NONEDITIONABLE for a crossedition trigger.
plsql_trigger_source
See Oracle Database PL/SQL Language Reference for the syntax and semantics of the plsql_trigger_source.
