C Diagrams for Basic SQL/JSON Path Expression Syntax
Syntax diagrams and corresponding Backus-Naur Form (BNF) syntax descriptions are presented for the basic SQL/JSON path expression syntax.
The basic syntax of SQL/JSON path expression is explained in Basic SQL/JSON Path Expression Syntax. This topic recapitulates that information in the form of syntax diagrams and BNF descriptions.
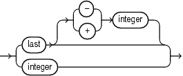
Figure C-7 json_array_index

Description of "Figure C-7 json_array_index"
Array indexing is zero-based, so integer
is
a non-negative integer (0
, 1
,
2
, 3
,...).
The array index form last
+
integer
is only for use with Oracle SQL function
json_transform
, and you cannot use it in combination with
other indexes, including in a range specification (a json_array_step of
the form json_array_index
to
json_array_index).
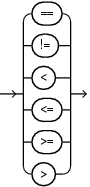
Figure C-17 json_scalar

Description of "Figure C-17 json_scalar"
Note:
json_string
is a JSON string literal.
json_number
is a standard JSON number
literal: a decimal numeral, possibly signed and possibly including a decimal
exponent. See JSON Syntax and the Data It Represents.
See Also:
-
Oracle AI Database SQL Language Reference for information about Oracle syntax diagrams
Related Topics
Parent topic: Appendixes