Z 分数方法依靠一组数据的平均值和标准偏差来度量集中趋势和离散度。这非常麻烦,因为平均值和标准偏差很大程度上受到离群值的影响 - 它们并不稳健。事实上,离群值引起的偏态导致我们从数据集中找出并删除离群值的主要原因之一!Z 分数方法的另一个缺点是对小型数据集效果不佳 - 事实上,如果数据集中的项少于 12 个,Z 分数方法根本检测不到离群值。
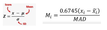
这促使人们开发了经过修正的 Z 分数方法,这种方法不受上述限制。这种方法非常适合偏态数据或非正态分布且观测值较少的数据。MAD 是中间值绝对偏差。经过修正的 Z 分数方法的另一优势在于它使用中间值和 MAD,而不是平均值和标准偏差。中间值和 MAD 分别是衡量集中趋势和离散度的稳健度量。
