Estacionaridade

A previsão de série temporal do ARIMA supõe que a média, a variação e a autocorrelação da série temporal sejam estacionárias ao longo do tempo. Essa característica é chamada de estacionaridade. Se a estatística de uma série temporal não tiver estacionaridade, ela deverá ser ajustada:

  • Não estacionaridade na média: Neste caso, a média não é constante, mas é desviada lentamente. Isso pode valer para série sazonal e não sazonal e é eliminado pela diferenciação da série. A implementação automática do ARIMA do Método de Previsão determina a quantidade de diferenciação não sazonal exigida para tornar uma série estacionária usando testes KPSS (Kwiatkowski-Phillips-Schmidt-Shin) repetidos com valores alfa apropriados. Para série sazonal, são usados testes repetitivos Canova-Hansen com valores alfa apropriados.

  • Não estacionaridade na variância: Nesse caso, a série temporal é heterocedástica; a variância dos dados em torno da média muda com o tempo. Essa não estacionaridade na variância é removida pela aplicação da transformação Box-Cox, um tipo especial de transformação de potência:

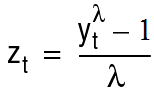
    Transformação Box-Cox, se lambda não for igual a 0

    Transformação Box-Cox, se lambda for igual a 0

    Onde a série original for {xt}, a série transformada será {zt}, e a constante da transformação de potência será lambda (λ).

    O Planejamento Preditivo determina um valor adequado de lambda com um algoritmo que usa as informações de sazonalidade para dividir o conjunto de dados em grupos e, em seguida, tenta encontrar um valor de lambda que renderize a variância estacionária entre grupos.

    Para usuários que desejam mais controle sobre a transformação Box-Cox, o Planejamento Preditivo fornece opções de transformação de potência frequentemente usadas, como transformação logarítmica (lambda = 0) ou transformação de raiz quadrada (lambda = 0,5) e até mesmo uma transformação personalizada com um lambda selecionado pelo usuário entre -5 e +5 (inclusive). No entanto, o Planejamento Preditivo impede o uso de valores de lambda personalizados que resultariam em valores transformados muito grandes ou muito pequenos.