정상성

ARIMA 시계열 예측은 시간이 경과함에 따라 시계열 평균, 분산, 자기상관이 고정된다고 가정합니다. 이 특성을 정상성이라고 합니다. 시계열 통계에 비정상성이 있는 경우 조정해야 합니다.

  • 평균 비정상성: 이 경우 평균이 일정하지 않고 느리게 이동합니다. 계절 및 비계절 계열에 둘 다 적용될 수 있으며 계열을 차분하면 제거됩니다. Predictor의 자동 ARIMA 구현은 반복 KPSS(Kwiatkowski-Phillips-Schmidt-Shin) 테스트에 적절한 알파 값을 사용하여 계열을 고정하는 데 필요한 비계절 차분 양을 결정합니다. 계절 계열의 경우 반복 Canova-Hansen 테스트와 적절한 알파 값이 사용됩니다.

  • 편차 비정상성: 이 경우 시계열이 이분산으로, 시간 경과에 따라 평균 주변 데이터의 분산이 변경됩니다. 이 분산 비정상성은 특수 유형의 거듭제곱 변형인 Box-Cox 변형을 적용하면 제거됩니다.

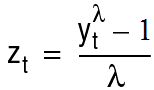
    Box-Cox 변형, 람다가 0이 아닌 경우

    Box-Cox 변형, 람다가 0인 경우

    원래 계열은 {xt}이고, 변형된 계열은 {zt}이고, 거듭제곱 변형 상수는 람다(λ)입니다.

    Predictive Planning은 계절성 정보를 사용하여 데이터 세트를 그룹으로 나눈 후 그룹 전체에서 분산을 고정하는 람다 값을 찾으려고 하는 알고리즘을 사용하여 적합한 람다 값을 결정합니다.

    Box-Cox 변형을 더 세부적으로 제어하려는 사용자를 위해 Predictive Planning은 로그 변형(람다 = 0) 또는 제곱근 변형(람다 = 0.5)과 같은 일반적으로 사용되는 거듭제곱 변형 옵션을 제공하며, 사용자가 선택한 –5에서 +5(포함) 사이의 람다를 사용하는 사용자정의 변형도 제공합니다. 그러나 Predictive Planning에서 변형된 값이 너무 크거나 너무 작은 사용자정의 람다 값을 사용할 수는 없습니다.