定常性

ARIMA時系列予測では、時系列の平均、分散および自己相関は一定期間にわたり定常であると想定しています。この特性は定常性と呼ばれます。時系列統計に非定常性がある場合は、調整する必要があります:

  • 平均における非定常性: この場合、平均は一定ではなく、ゆっくりと変動します。これは、季節性系列と非季節性系列の両方に当てはまる可能性があり、系列を差分処理することによって除去されます。Predictorの自動ARIMA実装は、適切なアルファ値を使用してKPSS (Kwiatkowski-Phillips-Schmidt-Shin)検定を繰り返し使用することにより、系列を定常にするために必要な非季節性差異の量を決定します。季節性系列の場合、適切なアルファ値を使用してCanova-Hansen検定を繰り返し使用します。

  • 分散における非定常性: この場合、時系列は不均一であり、平均付近のデータの分散は時間とともに変化します。分散のこの非定常性は、特殊なタイプのべき変換であるBox-Cox変換を適用することによって除去されます:

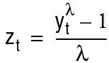
    Box-Cox変換、ラムダが0と等しくない場合

    Box-Cox変換、ラムダが0と等しい場合

    元の系列は{xt}、変換された系列は{zt}、べき変換定数はラムダ(λ)です。

    プレディクティブ・プランニングでは、季節性情報を使用してデータセットをグループに分割するアルゴリズムを使用してラムダの適切な値を決定し、分散をグループ間で定常にするラムダ値を見つけることを試みます。

    プレディクティブ・プランニングでは、Box-Cox変換をさらに制御する必要があるユーザーのために、対数変換(ラムダ = 0)や平方根変換(ラムダ = 0.5)などの一般的に使用される、べき変換のオプションを提供し、ユーザーが選択した–5から+5 (両端を含む)のラムダを使用するカスタム変換も提供します。ただし、プレディクティブ・プランニングでは、変換された値が過度に大きくまたは小さくなるカスタム・ラムダ値が使用されないようになっています。