Stationnarité

La prévision de séries chronologiques ARIMA suppose que la moyenne, la variance et la corrélation automatique sont stationnaires dans le temps. Cette caractéristique est appelée stationnarité. Si une statistique chronologique n'est pas stationnaire, elle peut être ajustée :

  • Absence de stationnarité de la moyenne : dans ce cas, la moyenne n'est pas constante, mais dérive lentement. Cela peut être le cas à la fois pour les séries saisonnières et non saisonnières. Pour résoudre le problème, il suffit de différencier les séries. L'implémentation ARIMA automatique de Predictor détermine la différentiation non saisonnière requise pour rendre une série stationnaire à l'aide de tests KPSS (Kwiatkowski-Phillips-Schmidt-Shin) avec des valeurs alpha appropriées. Pour les séries saisonnières, nous effectuons à plusieurs reprises des tests Canova-Hansen avec des valeurs alpha appropriées.

  • Absence de stationnarité de la variance : dans ce cas, la série chronologique est hétéroscédasticique. La variance des données par rapport à la moyenne change au fil du temps. L'absence de stationnarité de la variance disparaît lors de l'application de la transformation de Box-Cox, un type particulier de transformation de puissance :

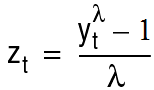
    Transformation de Box-Cox, si la valeur lambda n'est pas égale à 0

    Transformation de Box-Cox, si la valeur lambda est égale à 0

    Où la série d'origine est {xt}, la série transformée est {zt} et la constante de transformation de puissance est lambda (λ).

    Predictive Planning détermine une valeur adaptée de lambda avec un algorithme qui se sert des informations de saisonnalité pour diviser l'ensemble de données en groupes, puis tente de rechercher une valeur lambda qui rende la variance stationnaire sur l'ensemble des groupes.

    Pour les utilisateurs qui souhaitent davantage de contrôle sur la transformation de Box-Cox, Predictive Planning offre des options de transformation de puissance couramment utilisées, telles que la transformation log (lambda = 0) ou la transformation de racine carrée (lambda = 0,5), voire une transformation personnalisée avec une valeur lambda comprise entre -5 et +5 (inclus) sélectionnée par l'utilisateur. Toutefois, Predictive Planning empêche l'utilisation de valeurs lambda personnalisées qui donneraient lieu à des valeurs transformées trop importantes ou trop restreintes.