Estacionariedad

En la previsión de la serie de tiempo de ARIMA se asume que la media, la varianza y la autocorrelación de la serie de tiempo son estacionales con el tiempo. A esta característica se la denomina estacionariedad. Si la estadística de una serie temporal no tiene estacionariedad, se debe ajustar:

  • No estacionariedad en la media: en este caso, la media no es constante, pero su divergencia es lenta. Esto se puede aplicar tanto para series estacionales como no estacionales y se elimina mediante la diferenciación de las series. La implantación automática de ARIMA de Predictor determina la cantidad de diferencias no estacionales necesaria para que una serie sea estacional mediante pruebas KPSS (Kwiatkowski-Phillips-Schmidt-Shin) repetidas con valores alfa adecuados. En el caso de series estacionales, se usan las pruebas de Canova-Hansen repetidas con valores alfa adecuados.

  • No estacionariedad de la varianza: en este caso, la serie de tiempo es heterocedástica; la varianza de los datos con respecto al promedio cambia con el tiempo. Esta no estacionariedad de la varianza se elimina mediante la aplicación de la transformación de Box-Cox, un tipo especial de transformación de potencia:

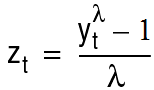
    Transformación de Box-Cox, si lambda no es igual a 0

    Transformación de Box-Cox, si lambda es igual a 0

    Donde la serie original es {xt}, la serie transformada es {zt} y la constante de transformación de potencia es lambda (λ).

    Planificación predictiva determina un valor adecuado de lambda con un algoritmo que usa la información estacional para dividir el juego de datos en grupos y, a continuación, intenta encontrar un valor lambda que presente la estacionalidad de varianza en los distintos grupos.

    Para usuarios que deseen tener un mayor control sobre la transformación de Box-Cox, Planificación predictiva ofrece opciones de transformación de potencia de uso habitual, como transformación logarítmica (lambda = 0) o transformación de raíz cuadrada (lambda = 0,5) e incluso una transformación personalizada con un lambda seleccionado por el usuario entre –5 y +5 (ambos inclusives). Sin embargo, Planificación predictiva evita el uso de valores lambda personalizados que provocarían que los valores transformados fueran demasiado grandes o pequeños.