Stationarität

Bei der ARIMA-Zeitreihenprognose wird angenommen, dass Mittelwert, Varianz und Autokorrelation der Zeitreihe im Zeitverlauf stationär sind. Diese Eigenschaft wird als Stationarität bezeichnet. Wenn eine Zeitreihenstatistik Nichtstationarität aufweist, muss sie korrigiert werden:

  • Nichtstationarität im Mittelwert: In diesem Fall ist der Mittelwert nicht konstant, sondern weicht langsam ab. Dieser Effekt kann sowohl bei saisonalen als auch bei nichtsaisonalen Zeitreihen auftreten und wird durch Differenzieren der Zeitreihe aufgehoben. Die automatische ARIMA-Implementierung von Predictor ermittelt mithilfe wiederholter KPSS-(Kwiatkowski-Phillips-Schmidt-Shin-)Tests mit geeigneten Alphawerten den erforderlichen Wert der nichtsaisonalen Differenzierung, damit die Zeitreihe stationär wird. Bei saisonalen Zeitreihen werden wiederholte Canova-Hansen-Tests mit geeigneten Alphawerten verwendet.

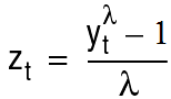
  • Nichtstationarität in der Varianz: In diesem Fall ist die Zeitreihe heteroskedastisch, d.h., die Varianz der Daten um den Mittelwert ändert sich im Zeitverlauf. Diese Nichtstationarität in der Varianz wird durch Anwenden der Box-Cox-Transformation entfernt, einer Sonderform der Potenztransformation:

    Box-Cox-Transformation, wenn Lambda ungleich 0

    Box-Cox-Transformation, wenn Lambda gleich 0

    Dabei ist die ursprüngliche Zeitreihe {xt}, die transformierte Zeitreihe {zt} und die Konstante der Potenztransformation Lambda (λ).

    Predictive Planning ermittelt einen geeigneten Lambda-Wert mithilfe eines Algorithmus, der das Dataset anhand der Saisonalitätsinformationen in Gruppen unterteilt und anschließend einen Lambda-Wert ermittelt, der die Varianz über alle Gruppen hinweg stationär repräsentiert.

    Für Benutzer, die mehr Kontrolle über die Box-Cox-Transformation benötigen, bietet Predictive Planning häufig verwendete Optionen für die Potenztransformation, z.B. Log-Transformation (Lambda = 0) oder Quadratwurzeltransformation (Lambda = 0,5) sowie eine benutzerdefinierte Transformation mit benutzerdefinierten Lambda-Werten zwischen –5 und +5 (jeweils einschließlich). Predictive Planning unterbindet allerdings die Verwendung benutzerdefinierter Lambda-Werte, die zu große oder zu kleine transformierte Werte ergeben würden.