| Skip Navigation Links | |
| Exit Print View | |
|
man pages section 3: Multimedia Library Functions Oracle Solaris 11.1 Information Library |
Multimedia Library Functions - Part 1
Multimedia Library Functions - Part 2
Multimedia Library Functions - Part 3
Multimedia Library Functions - Part 4
Multimedia Library Functions - Part 5
mlib_SignalIFFTW_1_F32C(3MLIB)
mlib_SignalIFFTW_1_F32C_F32C(3MLIB)
mlib_SignalIFFTW_1_F32_F32(3MLIB)
mlib_SignalIFFTW_1_F32_F32C(3MLIB)
mlib_SignalIFFTW_1_S16C(3MLIB)
mlib_SignalIFFTW_1_S16C_S16C(3MLIB)
mlib_SignalIFFTW_1_S16_S16(3MLIB)
mlib_SignalIFFTW_1_S16_S16C(3MLIB)
mlib_SignalIFFTW_2_F32C(3MLIB)
mlib_SignalIFFTW_2_F32C_F32C(3MLIB)
mlib_SignalIFFTW_2_F32_F32(3MLIB)
mlib_SignalIFFTW_2_F32_F32C(3MLIB)
mlib_SignalIFFTW_2_S16C_Mod(3MLIB)
mlib_SignalIFFTW_2_S16C_S16C_Mod(3MLIB)
mlib_SignalIFFTW_2_S16_Mod(3MLIB)
mlib_SignalIFFTW_2_S16_S16C_Mod(3MLIB)
mlib_SignalIFFTW_2_S16_S16_Mod(3MLIB)
mlib_SignalIFFTW_3_F32C(3MLIB)
mlib_SignalIFFTW_3_F32C_F32C(3MLIB)
mlib_SignalIFFTW_3_F32_F32(3MLIB)
mlib_SignalIFFTW_3_F32_F32C(3MLIB)
mlib_SignalIFFTW_3_S16C_Mod(3MLIB)
mlib_SignalIFFTW_3_S16C_S16C_Mod(3MLIB)
mlib_SignalIFFTW_3_S16_Mod(3MLIB)
mlib_SignalIFFTW_3_S16_S16C_Mod(3MLIB)
mlib_SignalIFFTW_3_S16_S16_Mod(3MLIB)
mlib_SignalIFFTW_4_S16C(3MLIB)
mlib_SignalIFFTW_4_S16C_S16C(3MLIB)
mlib_SignalIFFTW_4_S16_S16(3MLIB)
mlib_SignalIFFTW_4_S16_S16C(3MLIB)
mlib_SignalIIR_Biquad_F32_F32(3MLIB)
mlib_SignalIIR_Biquad_F32S_F32S(3MLIB)
mlib_SignalIIR_Biquad_S16_S16_Sat(3MLIB)
mlib_SignalIIRFree_Biquad_F32_F32(3MLIB)
mlib_SignalIIRFree_Biquad_F32S_F32S(3MLIB)
mlib_SignalIIRFree_Biquad_S16_S16(3MLIB)
mlib_SignalIIRFree_Biquad_S16S_S16S(3MLIB)
mlib_SignalIIRFree_P4_F32_F32(3MLIB)
mlib_SignalIIRFree_P4_F32S_F32S(3MLIB)
mlib_SignalIIRFree_P4_S16_S16(3MLIB)
mlib_SignalIIRFree_P4_S16S_S16S(3MLIB)
mlib_SignalIIRInit_Biquad_F32_F32(3MLIB)
mlib_SignalIIRInit_Biquad_F32S_F32S(3MLIB)
mlib_SignalIIRInit_Biquad_S16_S16(3MLIB)
mlib_SignalIIRInit_Biquad_S16S_S16S(3MLIB)
mlib_SignalIIRInit_P4_F32_F32(3MLIB)
mlib_SignalIIRInit_P4_F32S_F32S(3MLIB)
mlib_SignalIIRInit_P4_S16_S16(3MLIB)
mlib_SignalIIRInit_P4_S16S_S16S(3MLIB)
mlib_SignalIIR_P4_F32_F32(3MLIB)
mlib_SignalIIR_P4_F32S_F32S(3MLIB)
mlib_SignalIIR_P4_S16_S16_Sat(3MLIB)
mlib_SignalIIR_P4_S16S_S16S_Sat(3MLIB)
mlib_SignalIMDCTSplit_D64(3MLIB)
mlib_SignalIMDCTSplit_F32(3MLIB)
mlib_SignalLimit_F32_F32(3MLIB)
mlib_SignalLimit_F32S_F32S(3MLIB)
mlib_SignalLimit_S16_S16(3MLIB)
mlib_SignalLimit_S16S_S16S(3MLIB)
mlib_SignalLinear2ADPCM2Bits(3MLIB)
mlib_SignalLinear2ADPCM3Bits(3MLIB)
mlib_SignalLinear2ADPCM4Bits(3MLIB)
mlib_SignalLinear2ADPCM5Bits(3MLIB)
mlib_SignalLMSFilter_F32_F32(3MLIB)
mlib_SignalLMSFilter_F32S_F32S(3MLIB)
mlib_SignalLMSFilterFree_F32_F32(3MLIB)
mlib_SignalLMSFilterFree_F32S_F32S(3MLIB)
mlib_SignalLMSFilterFree_S16_S16(3MLIB)
mlib_SignalLMSFilterFree_S16S_S16S(3MLIB)
mlib_SignalLMSFilterInit_F32_F32(3MLIB)
mlib_SignalLMSFilterInit_F32S_F32S(3MLIB)
mlib_SignalLMSFilterInit_S16_S16(3MLIB)
mlib_SignalLMSFilterInit_S16S_S16S(3MLIB)
mlib_SignalLMSFilterNonAdapt_F32_F32(3MLIB)
mlib_SignalLMSFilterNonAdapt_F32S_F32S(3MLIB)
mlib_SignalLMSFilterNonAdapt_S16_S16_Sat(3MLIB)
mlib_SignalLMSFilterNonAdapt_S16S_S16S_Sat(3MLIB)
mlib_SignalLMSFilter_S16_S16_Sat(3MLIB)
mlib_SignalLMSFilter_S16S_S16S_Sat(3MLIB)
mlib_SignalLPC2Cepstral_F32(3MLIB)
mlib_SignalLPC2Cepstral_S16(3MLIB)
mlib_SignalLPC2Cepstral_S16_Adp(3MLIB)
mlib_SignalLPCAutoCorrel_F32(3MLIB)
mlib_SignalLPCAutoCorrelFree_F32(3MLIB)
mlib_SignalLPCAutoCorrelFree_S16(3MLIB)
mlib_SignalLPCAutoCorrelGetEnergy_F32(3MLIB)
mlib_SignalLPCAutoCorrelGetEnergy_S16(3MLIB)
mlib_SignalLPCAutoCorrelGetEnergy_S16_Adp(3MLIB)
mlib_SignalLPCAutoCorrelGetPARCOR_F32(3MLIB)
mlib_SignalLPCAutoCorrelGetPARCOR_S16(3MLIB)
mlib_SignalLPCAutoCorrelGetPARCOR_S16_Adp(3MLIB)
mlib_SignalLPCAutoCorrelInit_F32(3MLIB)
mlib_SignalLPCAutoCorrelInit_S16(3MLIB)
mlib_SignalLPCAutoCorrel_S16(3MLIB)
mlib_SignalLPCAutoCorrel_S16_Adp(3MLIB)
mlib_SignalLPCCovariance_F32(3MLIB)
mlib_SignalLPCCovarianceFree_F32(3MLIB)
mlib_SignalLPCCovarianceFree_S16(3MLIB)
mlib_SignalLPCCovarianceInit_F32(3MLIB)
mlib_SignalLPCCovarianceInit_S16(3MLIB)
mlib_SignalLPCCovariance_S16(3MLIB)
mlib_SignalLPCCovariance_S16_Adp(3MLIB)
mlib_SignalLPCPerceptWeight_F32(3MLIB)
mlib_SignalLPCPerceptWeightFree_F32(3MLIB)
mlib_SignalLPCPerceptWeightFree_S16(3MLIB)
mlib_SignalLPCPerceptWeightInit_F32(3MLIB)
mlib_SignalLPCPerceptWeightInit_S16(3MLIB)
mlib_SignalLPCPerceptWeight_S16(3MLIB)
mlib_SignalLPCPitchAnalyze_F32(3MLIB)
mlib_SignalLPCPitchAnalyze_S16(3MLIB)
mlib_SignalLSP2LPC_S16_Adp(3MLIB)
mlib_SignalMelCepstral_F32(3MLIB)
mlib_SignalMelCepstralFree_F32(3MLIB)
mlib_SignalMelCepstralFree_S16(3MLIB)
mlib_SignalMelCepstralInit_F32(3MLIB)
mlib_SignalMelCepstralInit_S16(3MLIB)
mlib_SignalMelCepstral_S16(3MLIB)
mlib_SignalMelCepstral_S16_Adp(3MLIB)
mlib_SignalMerge_F32S_F32(3MLIB)
mlib_SignalMerge_S16S_S16(3MLIB)
mlib_SignalMulBartlett_F32(3MLIB)
mlib_SignalMulBartlett_F32_F32(3MLIB)
mlib_SignalMulBartlett_F32S(3MLIB)
mlib_SignalMulBartlett_F32S_F32S(3MLIB)
mlib_SignalMulBartlett_S16(3MLIB)
mlib_SignalMulBartlett_S16_S16(3MLIB)
mlib_SignalMulBartlett_S16S(3MLIB)
mlib_SignalMulBartlett_S16S_S16S(3MLIB)
mlib_SignalMulBlackman_F32(3MLIB)
mlib_SignalMulBlackman_F32_F32(3MLIB)
mlib_SignalMulBlackman_F32S(3MLIB)
mlib_SignalMulBlackman_F32S_F32S(3MLIB)
mlib_SignalMulBlackman_S16(3MLIB)
mlib_SignalMulBlackman_S16_S16(3MLIB)
mlib_SignalMulBlackman_S16S(3MLIB)
mlib_SignalMulBlackman_S16S_S16S(3MLIB)
mlib_SignalMul_F32S_F32S(3MLIB)
mlib_SignalMulHamming_F32(3MLIB)
mlib_SignalMulHamming_F32_F32(3MLIB)
mlib_SignalMulHamming_F32S(3MLIB)
mlib_SignalMulHamming_F32S_F32S(3MLIB)
mlib_SignalMulHamming_S16(3MLIB)
mlib_SignalMulHamming_S16_S16(3MLIB)
mlib_SignalMulHamming_S16S(3MLIB)
mlib_SignalMulHamming_S16S_S16S(3MLIB)
mlib_SignalMulHanning_F32(3MLIB)
mlib_SignalMulHanning_F32_F32(3MLIB)
mlib_SignalMulHanning_F32S(3MLIB)
mlib_SignalMulHanning_F32S_F32S(3MLIB)
mlib_SignalMulHanning_S16(3MLIB)
mlib_SignalMulHanning_S16_S16(3MLIB)
mlib_SignalMulHanning_S16S(3MLIB)
mlib_SignalMulHanning_S16S_S16S(3MLIB)
mlib_SignalMulKaiser_F32(3MLIB)
mlib_SignalMulKaiser_F32_F32(3MLIB)
mlib_SignalMulKaiser_F32S(3MLIB)
mlib_SignalMulKaiser_F32S_F32S(3MLIB)
mlib_SignalMulKaiser_S16(3MLIB)
mlib_SignalMulKaiser_S16_S16(3MLIB)
mlib_SignalMulKaiser_S16S(3MLIB)
mlib_SignalMulKaiser_S16S_S16S(3MLIB)
mlib_SignalMulRectangular_F32(3MLIB)
mlib_SignalMulRectangular_F32_F32(3MLIB)
mlib_SignalMulRectangular_F32S(3MLIB)
mlib_SignalMulRectangular_F32S_F32S(3MLIB)
mlib_SignalMulRectangular_S16(3MLIB)
mlib_SignalMulRectangular_S16_S16(3MLIB)
mlib_SignalMulRectangular_S16S(3MLIB)
mlib_SignalMulRectangular_S16S_S16S(3MLIB)
mlib_SignalMul_S16_S16_Sat(3MLIB)
mlib_SignalMul_S16S_S16S_Sat(3MLIB)
mlib_SignalMul_S16S_Sat(3MLIB)
mlib_SignalMulSAdd_F32_F32(3MLIB)
mlib_SignalMulSAdd_F32S(3MLIB)
mlib_SignalMulSAdd_F32S_F32S(3MLIB)
mlib_SignalMulSAdd_S16_S16_Sat(3MLIB)
mlib_SignalMulSAdd_S16_Sat(3MLIB)
mlib_SignalMulSAdd_S16S_S16S_Sat(3MLIB)
mlib_SignalMulSAdd_S16S_Sat(3MLIB)
mlib_SignalMulS_F32_F32(3MLIB)
mlib_SignalMulS_F32S_F32S(3MLIB)
mlib_SignalMulShift_S16_S16_Sat(3MLIB)
mlib_SignalMulShift_S16_Sat(3MLIB)
mlib_SignalMulShift_S16S_S16S_Sat(3MLIB)
mlib_SignalMulShift_S16S_Sat(3MLIB)
mlib_SignalMulS_S16_S16_Sat(3MLIB)
mlib_SignalMulS_S16_Sat(3MLIB)
mlib_SignalMulS_S16S_S16S_Sat(3MLIB)
mlib_SignalMulS_S16S_Sat(3MLIB)
mlib_SignalMulSShiftAdd_S16_S16_Sat(3MLIB)
mlib_SignalMulSShiftAdd_S16_Sat(3MLIB)
mlib_SignalMulSShiftAdd_S16S_S16S_Sat(3MLIB)
mlib_SignalMulSShiftAdd_S16S_Sat(3MLIB)
mlib_SignalMulSShift_S16_S16_Sat(3MLIB)
mlib_SignalMulSShift_S16_Sat(3MLIB)
mlib_SignalMulSShift_S16S_S16S_Sat(3MLIB)
mlib_SignalMulSShift_S16S_Sat(3MLIB)
mlib_SignalMulWindow_F32(3MLIB)
mlib_SignalMulWindow_F32_F32(3MLIB)
mlib_SignalMulWindow_F32S(3MLIB)
mlib_SignalMulWindow_F32S_F32S(3MLIB)
mlib_SignalMulWindow_S16(3MLIB)
mlib_SignalMulWindow_S16_S16(3MLIB)
mlib_SignalMulWindow_S16S(3MLIB)
mlib_SignalMulWindow_S16S_S16S(3MLIB)
mlib_SignalNLMSFilter_F32_F32(3MLIB)
mlib_SignalNLMSFilter_F32S_F32S(3MLIB)
mlib_SignalNLMSFilterFree_F32_F32(3MLIB)
mlib_SignalNLMSFilterFree_F32S_F32S(3MLIB)
mlib_SignalNLMSFilterFree_S16_S16(3MLIB)
mlib_SignalNLMSFilterFree_S16S_S16S(3MLIB)
mlib_SignalNLMSFilterInit_F32_F32(3MLIB)
mlib_SignalNLMSFilterInit_F32S_F32S(3MLIB)
mlib_SignalNLMSFilterInit_S16_S16(3MLIB)
mlib_SignalNLMSFilterInit_S16S_S16S(3MLIB)
mlib_SignalNLMSFilterNonAdapt_F32_F32(3MLIB)
mlib_SignalNLMSFilterNonAdapt_F32S_F32S(3MLIB)
mlib_SignalNLMSFilterNonAdapt_S16_S16_Sat(3MLIB)
mlib_SignalNLMSFilterNonAdapt_S16S_S16S_Sat(3MLIB)
mlib_SignalNLMSFilter_S16_S16_Sat(3MLIB)
mlib_SignalNLMSFilter_S16S_S16S_Sat(3MLIB)
mlib_SignalQuant2_S16_F32(3MLIB)
mlib_SignalQuant2_S16S_F32S(3MLIB)
mlib_SignalQuant_S16_F32(3MLIB)
mlib_SignalQuant_S16S_F32S(3MLIB)
mlib_SignalQuant_U8_F32(3MLIB)
mlib_SignalQuant_U8_S16(3MLIB)
mlib_SignalQuant_U8S_F32S(3MLIB)
mlib_SignalQuant_U8S_S16S(3MLIB)
mlib_SignalReSampleFIR_F32_F32(3MLIB)
mlib_SignalReSampleFIR_F32S_F32S(3MLIB)
mlib_SignalReSampleFIRFree_F32_F32(3MLIB)
mlib_SignalReSampleFIRFree_F32S_F32S(3MLIB)
mlib_SignalReSampleFIRFree_S16_S16(3MLIB)
mlib_SignalReSampleFIRFree_S16S_S16S(3MLIB)
mlib_SignalReSampleFIRInit_F32_F32(3MLIB)
mlib_SignalReSampleFIRInit_F32S_F32S(3MLIB)
mlib_SignalReSampleFIRInit_S16_S16(3MLIB)
mlib_SignalReSampleFIRInit_S16S_S16S(3MLIB)
mlib_SignalReSampleFIR_S16_S16_Sat(3MLIB)
mlib_SignalReSampleFIR_S16S_S16S_Sat(3MLIB)
mlib_SignalSineWave_F32(3MLIB)
mlib_SignalSineWaveFree_F32(3MLIB)
mlib_SignalSineWaveFree_S16(3MLIB)
mlib_SignalSineWaveInit_F32(3MLIB)
mlib_SignalSineWaveInit_S16(3MLIB)
mlib_SignalSineWave_S16(3MLIB)
mlib_SignalSplit_F32_F32S(3MLIB)
mlib_SignalSplit_S16_S16S(3MLIB)
mlib_SignalUpSample_F32_F32(3MLIB)
mlib_SignalUpSample_F32S_F32S(3MLIB)
mlib_SignalUpSampleFIR_F32_F32(3MLIB)
mlib_SignalUpSampleFIR_F32S_F32S(3MLIB)
mlib_SignalUpSampleFIRFree_F32_F32(3MLIB)
mlib_SignalUpSampleFIRFree_F32S_F32S(3MLIB)
mlib_SignalUpSampleFIRFree_S16_S16(3MLIB)
mlib_SignalUpSampleFIRFree_S16S_S16S(3MLIB)
mlib_SignalUpSampleFIRInit_F32_F32(3MLIB)
mlib_SignalUpSampleFIRInit_F32S_F32S(3MLIB)
mlib_SignalUpSampleFIRInit_S16_S16(3MLIB)
mlib_SignalUpSampleFIRInit_S16S_S16S(3MLIB)
mlib_SignalUpSampleFIR_S16_S16_Sat(3MLIB)
mlib_SignalUpSampleFIR_S16S_S16S_Sat(3MLIB)
mlib_SignalUpSample_S16_S16(3MLIB)
mlib_SignalUpSample_S16S_S16S(3MLIB)
mlib_SignalWhiteNoise_F32(3MLIB)
mlib_SignalWhiteNoiseFree_F32(3MLIB)
mlib_SignalWhiteNoiseFree_S16(3MLIB)
mlib_SignalWhiteNoiseInit_F32(3MLIB)
mlib_SignalWhiteNoiseInit_S16(3MLIB)
mlib_SignalWhiteNoise_S16(3MLIB)
mlib_VectorAdd_S16C_Mod(3MLIB)
mlib_VectorAdd_S16C_S16C_Mod(3MLIB)
mlib_VectorAdd_S16C_S16C_Sat(3MLIB)
mlib_VectorAdd_S16C_S8C_Mod(3MLIB)
mlib_VectorAdd_S16C_S8C_Sat(3MLIB)
mlib_VectorAdd_S16C_Sat(3MLIB)
mlib_VectorAdd_S16C_U8C_Mod(3MLIB)
mlib_VectorAdd_S16C_U8C_Sat(3MLIB)
mlib_VectorAdd_S16_S16_Mod(3MLIB)
mlib_VectorAdd_S16_S16_Sat(3MLIB)
mlib_VectorAdd_S16_S8_Mod(3MLIB)
mlib_VectorAdd_S16_S8_Sat(3MLIB)
mlib_VectorAdd_S16_U8_Mod(3MLIB)
mlib_VectorAdd_S16_U8_Sat(3MLIB)
mlib_VectorAdd_S32C_Mod(3MLIB)
mlib_VectorAdd_S32C_S16C_Mod(3MLIB)
mlib_VectorAdd_S32C_S16C_Sat(3MLIB)
mlib_VectorAdd_S32C_S32C_Mod(3MLIB)
mlib_VectorAdd_S32C_S32C_Sat(3MLIB)
mlib_VectorAdd_S32C_Sat(3MLIB)
mlib_VectorAdd_S32_S16_Mod(3MLIB)
mlib_VectorAdd_S32_S16_Sat(3MLIB)
mlib_VectorAdd_S32_S32_Mod(3MLIB)
mlib_VectorAdd_S32_S32_Sat(3MLIB)
mlib_VectorAdd_S8C_S8C_Mod(3MLIB)
mlib_VectorAdd_S8C_S8C_Sat(3MLIB)
mlib_VectorAdd_S8_S8_Mod(3MLIB)
mlib_VectorAdd_S8_S8_Sat(3MLIB)
mlib_VectorAddS_S16C_Mod(3MLIB)
mlib_VectorAddS_S16C_S16C_Mod(3MLIB)
mlib_VectorAddS_S16C_S16C_Sat(3MLIB)
mlib_VectorAddS_S16C_S8C_Mod(3MLIB)
mlib_VectorAddS_S16C_S8C_Sat(3MLIB)
mlib_VectorAddS_S16C_Sat(3MLIB)
mlib_VectorAddS_S16C_U8C_Mod(3MLIB)
mlib_VectorAddS_S16C_U8C_Sat(3MLIB)
mlib_VectorAddS_S16_Mod(3MLIB)
mlib_VectorAddS_S16_S16_Mod(3MLIB)
mlib_VectorAddS_S16_S16_Sat(3MLIB)
mlib_VectorAddS_S16_S8_Mod(3MLIB)
mlib_VectorAddS_S16_S8_Sat(3MLIB)
mlib_VectorAddS_S16_Sat(3MLIB)
mlib_VectorAddS_S16_U8_Mod(3MLIB)
mlib_VectorAddS_S16_U8_Sat(3MLIB)
mlib_VectorAddS_S32C_Mod(3MLIB)
mlib_VectorAddS_S32C_S16C_Mod(3MLIB)
mlib_VectorAddS_S32C_S16C_Sat(3MLIB)
mlib_VectorAddS_S32C_S32C_Mod(3MLIB)
mlib_VectorAddS_S32C_S32C_Sat(3MLIB)
mlib_VectorAddS_S32C_Sat(3MLIB)
mlib_VectorAddS_S32_Mod(3MLIB)
mlib_VectorAddS_S32_S16_Mod(3MLIB)
mlib_VectorAddS_S32_S16_Sat(3MLIB)
mlib_VectorAddS_S32_S32_Mod(3MLIB)
mlib_VectorAddS_S32_S32_Sat(3MLIB)
mlib_VectorAddS_S32_Sat(3MLIB)
mlib_VectorAddS_S8C_Mod(3MLIB)
mlib_VectorAddS_S8C_S8C_Mod(3MLIB)
mlib_VectorAddS_S8C_S8C_Sat(3MLIB)
mlib_VectorAddS_S8C_Sat(3MLIB)
mlib_VectorAddS_S8_S8_Mod(3MLIB)
mlib_VectorAddS_S8_S8_Sat(3MLIB)
mlib_VectorAddS_U8C_Mod(3MLIB)
mlib_VectorAddS_U8C_Sat(3MLIB)
mlib_VectorAddS_U8C_U8C_Mod(3MLIB)
mlib_VectorAddS_U8C_U8C_Sat(3MLIB)
mlib_VectorAddS_U8_U8_Mod(3MLIB)
mlib_VectorAddS_U8_U8_Sat(3MLIB)
mlib_VectorAdd_U8C_U8C_Mod(3MLIB)
mlib_VectorAdd_U8C_U8C_Sat(3MLIB)
mlib_VectorAdd_U8_U8_Mod(3MLIB)
mlib_VectorAdd_U8_U8_Sat(3MLIB)
mlib_VectorAve_S16C_S16C(3MLIB)
mlib_VectorAve_S16C_S8C(3MLIB)
mlib_VectorAve_S16C_U8C(3MLIB)
mlib_VectorAve_S32C_S16C(3MLIB)
mlib_VectorAve_S32C_S32C(3MLIB)
mlib_VectorConjRev_S16C_S16C_Sat(3MLIB)
mlib_VectorConjRev_S32C_S32C_Sat(3MLIB)
mlib_VectorConjRev_S8C_S8C_Sat(3MLIB)
mlib_VectorConj_S16C_S16C_Sat(3MLIB)
mlib_VectorConj_S16C_Sat(3MLIB)
mlib_VectorConj_S32C_S32C_Sat(3MLIB)
mlib_VectorConj_S32C_Sat(3MLIB)
mlib_VectorConj_S8C_S8C_Sat(3MLIB)
mlib_VectorConj_S8C_Sat(3MLIB)
mlib_VectorConjSymExt_S16C_S16C_Sat(3MLIB)
mlib_VectorConjSymExt_S32C_S32C_Sat(3MLIB)
mlib_VectorConjSymExt_S8C_S8C_Sat(3MLIB)
mlib_VectorConvert_S16C_S32C_Mod(3MLIB)
mlib_VectorConvert_S16C_S32C_Sat(3MLIB)
mlib_VectorConvert_S16C_S8C_Mod(3MLIB)
mlib_VectorConvert_S16C_S8C_Sat(3MLIB)
mlib_VectorConvert_S16C_U8C_Mod(3MLIB)
mlib_VectorConvert_S16C_U8C_Sat(3MLIB)
mlib_VectorConvert_S16_S32_Mod(3MLIB)
mlib_VectorConvert_S16_S32_Sat(3MLIB)
mlib_VectorConvert_S16_S8_Mod(3MLIB)
mlib_VectorConvert_S16_S8_Sat(3MLIB)
mlib_VectorConvert_S16_U8_Mod(3MLIB)
mlib_VectorConvert_S16_U8_Sat(3MLIB)
mlib_VectorConvert_S32C_S16C_Mod(3MLIB)
mlib_VectorConvert_S32C_S16C_Sat(3MLIB)
mlib_VectorConvert_S32C_S8C_Mod(3MLIB)
mlib_VectorConvert_S32C_S8C_Sat(3MLIB)
mlib_VectorConvert_S32C_U8C_Mod(3MLIB)
mlib_VectorConvert_S32C_U8C_Sat(3MLIB)
mlib_VectorConvert_S32_S16_Mod(3MLIB)
mlib_VectorConvert_S32_S16_Sat(3MLIB)
mlib_VectorConvert_S32_S8_Mod(3MLIB)
mlib_VectorConvert_S32_S8_Sat(3MLIB)
mlib_VectorConvert_S32_U8_Mod(3MLIB)
mlib_VectorConvert_S32_U8_Sat(3MLIB)
mlib_VectorConvert_S8C_S16C_Mod(3MLIB)
mlib_VectorConvert_S8C_S16C_Sat(3MLIB)
mlib_VectorConvert_S8C_S32C_Mod(3MLIB)
mlib_VectorConvert_S8C_S32C_Sat(3MLIB)
mlib_VectorConvert_S8C_U8C_Mod(3MLIB)
mlib_VectorConvert_S8C_U8C_Sat(3MLIB)
mlib_VectorConvert_S8_S16_Mod(3MLIB)
mlib_VectorConvert_S8_S16_Sat(3MLIB)
mlib_VectorConvert_S8_S32_Mod(3MLIB)
mlib_VectorConvert_S8_S32_Sat(3MLIB)
mlib_VectorConvert_S8_U8_Mod(3MLIB)
mlib_VectorConvert_S8_U8_Sat(3MLIB)
mlib_VectorConvert_U8C_S16C_Mod(3MLIB)
mlib_VectorConvert_U8C_S16C_Sat(3MLIB)
mlib_VectorConvert_U8C_S32C_Mod(3MLIB)
mlib_VectorConvert_U8C_S32C_Sat(3MLIB)
mlib_VectorConvert_U8C_S8C_Mod(3MLIB)
mlib_VectorConvert_U8C_S8C_Sat(3MLIB)
mlib_VectorConvert_U8_S16_Mod(3MLIB)
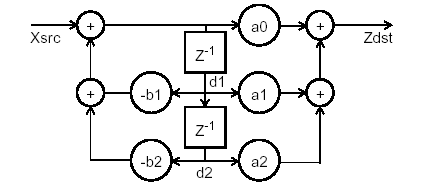
- biquad Infinite Impulse Response (IIR) filtering
cc [ flag... ] file... -lmlib [ library... ] #include <mlib.h>
mlib_status mlib_SignalIIR_Biquad_S16_S16_Sat(mlib_s16 *dst,
const mlib_s16 *src, void *filter, mlib_s32 n);mlib_status mlib_SignalIIR_Biquad_S16S_S16S_Sat(mlib_s16 *dst,
const mlib_s16 *src, void *filter, mlib_s32 n);mlib_status mlib_SignalIIR_Biquad_F32_F32(mlib_f32 *dst,
const mlib_f32 *src, void *filter, mlib_s32 n);mlib_status mlib_SignalIIR_Biquad_F32S_F32S(mlib_f32 *dst,
const mlib_f32 *src, void *filter, mlib_s32 n);Each of these functions applies a biquad IIR filter to a signal array.

The biquad IIR filter is represented by the following figure:

Each of the functions takes the following arguments:
Destination signal array.
Source signal array.
Internal filter structure.
Number of samples in the source signal array.
Each of the functions returns MLIB_SUCCESS if successful. Otherwise it returns MLIB_FAILURE.
See attributes(5) for descriptions of the following attributes:
|
mlib_SignalIIR_P4_S16_S16_Sat(3MLIB), mlib_SignalIIRFree_Biquad_S16_S16(3MLIB), mlib_SignalIIRFree_P4_S16_S16(3MLIB), mlib_SignalIIRInit_Biquad_S16_S16(3MLIB), mlib_SignalIIRInit_P4_S16_S16(3MLIB), attributes(5)